Control of Catabolic Pathways

Control of Catabolic Pathways

Enzymes, proteins, electron carriers, and pumps that play roles in glycolysis, the citric acid cycle, and the electron transport chain tend to catalyze non-reversible reactions. In other words, if the initial reaction takes place, the pathway is committed to proceeding with the remaining reactions. Whether a particular enzyme activity is released depends upon the energy needs of the cell (as reflected by the levels of ATP, ADP, and AMP).

Glycolysis

The control of glycolysis begins with the first enzyme in the pathway, hexokinase (see the figure below). This enzyme catalyzes the phosphorylation of glucose, which helps to prepare the compound for cleavage in a later step. The presence of the negatively charged phosphate in the molecule also prevents the sugar from leaving the cell.

When hexokinase is inhibited, glucose diffuses out of the cell and does not become a substrate for the respiration pathways in that tissue. The product of the hexokinase reaction is glucose-6-phosphate, which accumulates when a later enzyme, phosphofructokinase, is inhibited.

This illustration shows that glycolysis is regulated via three key enzymes: hexokinase phosphofructokinase, and phosphoglycerate kinase. The first two enzymes hydrolyze an ATP and the third one produces ATP.

The glycolysis pathway is primarily regulated at the three key enzymatic steps (1, 2, and 7) as indicated. Note that the first two steps that are regulated occur early in the pathway and involve hydrolysis of ATP.

Phosphofructokinase is the main enzyme controlled in glycolysis. High levels of ATP, citrate, or a lower, more acidic pH decrease the enzyme’s activity. An increase in citrate concentration can occur because of a blockage in the citric acid cycle. Fermentation, with its production of organic acids like lactic acid, frequently accounts for the increased acidity in a cell; however, the products of fermentation do not typically accumulate in cells.

The last step in glycolysis is catalyzed by pyruvate kinase. The pyruvate produced can proceed to be catabolized or converted into the amino acid alanine. If no more energy is needed and alanine is in adequate supply, the enzyme is inhibited. The enzyme’s activity is increased when fructose-1,6-bisphosphate levels increase. (Recall that fructose-1,6-bisphosphate is an intermediate in the first half of glycolysis.)

The regulation of pyruvate kinase involves phosphorylation by a kinase (pyruvate kinase kinase), resulting in a less-active enzyme. Dephosphorylation by a phosphatase reactivates it. Pyruvate kinase is also regulated by ATP (a negative allosteric effect).

If more energy is needed, more pyruvate will be converted into acetyl CoA through the action of pyruvate dehydrogenase. If either acetyl groups or NADH accumulate, there is less need for the reaction and the rate decreases. Pyruvate dehydrogenase is also regulated by phosphorylation: A kinase phosphorylates it to form an inactive enzyme, and a phosphatase reactivates it. The kinase and the phosphatase are also regulated.

Citric Acid Cycle

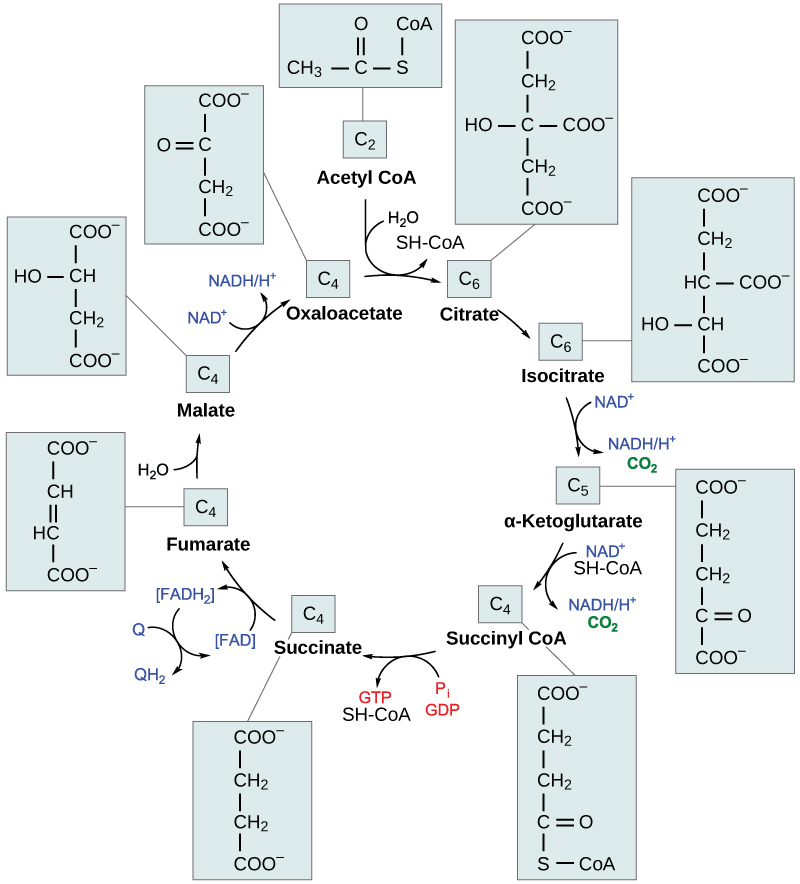
The citric acid cycle is controlled through the enzymes that catalyze the reactions that make the first two molecules of NADH (see figure below). These enzymes are isocitrate dehydrogenase and α-ketoglutarate dehydrogenase.

In the citric acid cycle, the acetyl group from acetyl CoA is attached to a four-carbon oxaloacetate molecule to form a six-carbon citrate molecule. Through a series of steps, citrate is oxidized, releasing two carbon dioxide molecules for each acetyl group fed into the cycle. In the process, three NAD+ molecules are reduced to NADH, one FAD molecule is reduced to FADH2, and one ATP or GTP (depending on the cell type) is produced (by substrate-level phosphorylation). Because the final product of the citric acid cycle is also the first reactant, the cycle runs continuously in the presence of sufficient reactants. (credit: modification of work by “Yikrazuul”/Wikimedia Commons)

When adequate ATP and NADH levels are available, the rates of these reactions decrease. When more ATP is needed, as reflected in rising ADP levels, the rate increases. α-Ketoglutarate dehydrogenase will also be affected by the levels of succinyl CoA—a subsequent intermediate in the cycle—causing a decrease in activity.

A decrease in the rate of operation of the pathway at this point is not necessarily negative, as the increased levels of the α-ketoglutarate not used by the citric acid cycle can be used by the cell for amino acid (glutamate) synthesis.

Electron Transport Chain

Specific enzymes of the electron transport chain are unaffected by feedback inhibition, but the rate of electron transport through the pathway is affected by the levels of ADP and ATP. Greater ATP consumption by a cell is indicated by a buildup of ADP. As ATP usage decreases, the concentration of ADP decreases, and now, ATP begins to build up in the cell. This change is the relative concentration of ADP to ATP triggers the cell to slow down the electron transport chain.

For a summary of feedback controls in cellular respiration, see the table below.

Summary of Feedback Controls in Cellular Respiration

Pathway

Enzyme affected

Elevated levels of effector

Effect on pathway activity

glycolysis hexokinase glucose-6-phosphate decrease
phosphofructokinase low-energy charge (ATP, AMP), fructose-6-phosphate via fructose-2,6-bisphosphate increase
high-energy charge (ATP, AMP), citrate, acidic pH decrease
pyruvate kinase fructose-1,6-bisphosphate increase
high-energy charge (ATP, AMP), alanine decrease
pyruvate to acetyl CoA conversion pyruvate dehydrogenase ADP, pyruvate increase
acetyl CoA, ATP, NADH decrease
citric acid cycle isocitrate dehydrogenase ADP increase
ATP, NADH decrease
α-ketoglutarate dehydrogenase Calcium ions, ADP increase
ATP, NADH, succinyl CoA decrease
electron transport chain ADP increase
ATP decrease

This lesson is part of:

Cellular Respiration

View Full Tutorial

Track Your Learning Progress

Sign in to unlock unlimited practice exams, tutorial practice quizzes, personalized weak area practice, AI study assistance with Lexi, and detailed performance analytics.