Unimolecular Elementary Reactions

Unimolecular Elementary Reactions

The molecularity of an elementary reaction is the number of reactant species (atoms, molecules, or ions). For example, a unimolecular reaction involves the rearrangement of a single reactant species to produce one or more molecules of product:

\(A\phantom{\rule{0.2em}{0ex}}⟶\phantom{\rule{0.2em}{0ex}}\text{products}\)

The rate equation for a unimolecular reaction is:

\(\text{rate}=k\left[A\right]\)

A unimolecular reaction may be one of several elementary reactions in a complex mechanism. For example, the reaction:

\({\text{O}}_{3}\phantom{\rule{0.2em}{0ex}}⟶\phantom{\rule{0.2em}{0ex}}{\text{O}}_{2}+\text{O}\)

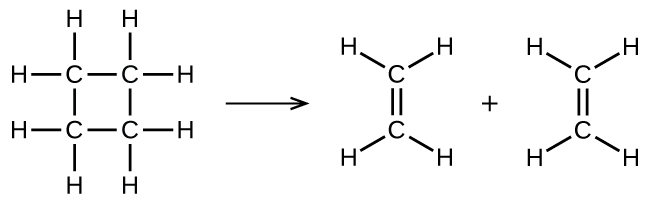
illustrates a unimolecular elementary reaction that occurs as one part of a two-step reaction mechanism. However, some unimolecular reactions may have only a single reaction in the reaction mechanism. (In other words, an elementary reaction can also be an overall reaction in some cases.) For example, the gas-phase decomposition of cyclobutane, C4H8, to ethylene, C2H4, occurs via a unimolecular, single-step mechanism:

In this figure, structural formulas are used to illustrate a chemical reaction. On the left, a structural formula for cyclobutane is shown. This structure is composed of 4 C atoms connected with single bonds in a square shape. Each C atom is bonded to two other C atoms in the structure, leaving two bonds for H atoms pointing outward above, below, left, and right. An arrow points right to two identical ethane molecules with a plus symbol between them. Each of these molecules contains two C atoms connected with a double bond oriented vertically between them. The C atom at the top of these molecules has H atoms bonded above to the right and left. Similarly, the lower C atom has two H atoms bonded below to the right and left.

For these unimolecular reactions to occur, all that is required is the separation of parts of single reactant molecules into products.

Chemical bonds do not simply fall apart during chemical reactions. Energy is required to break chemical bonds. The activation energy for the decomposition of C4H8, for example, is 261 kJ per mole. This means that it requires 261 kilojoules to distort one mole of these molecules into activated complexes that decompose into products:

In this figure, structural formulas are used to illustrate a chemical reaction, including an intermediate step. On the left, a structural formula for cyclobutane is shown. This structure is composed of 4 C atoms connected with single bonds in a square shape. Each C atom is bonded to two other C atoms in the structure, leaving two bonds for H atoms pointing outward above, below, left, and right. This structure is labeled, “Cyclohexane.” An arrow points right to a similar structure which has the upper and lower bonds replaced by rows of 4 dots. Similarly, columns of 3 dots appear just inside the line segments indicating the vertically oriented single bonds in the structure. The label “Activated complex” appears beneath this structure. A second arrow points right to two identical ethane molecules with a plus symbol between them. Each of these molecules contains two C atoms connected with a double bond oriented vertically between them. The C atom at the top of these molecules has H atoms bonded above to the right and left. Similarly, the lower C atom has two H atoms bonded below to the right and left. Below these two molecules appears the label “Ethylene.”

In a sample of C4H8, a few of the rapidly moving C4H8 molecules collide with other rapidly moving molecules and pick up additional energy. When the C4H8 molecules gain enough energy, they can transform into an activated complex, and the formation of ethylene molecules can occur. In effect, a particularly energetic collision knocks a C4H8 molecule into the geometry of the activated complex.

However, only a small fraction of gas molecules travel at sufficiently high speeds with large enough kinetic energies to accomplish this. Hence, at any given moment, only a few molecules pick up enough energy from collisions to react.

The rate of decomposition of C4H8 is directly proportional to its concentration. Doubling the concentration of C4H8 in a sample gives twice as many molecules per liter. Although the fraction of molecules with enough energy to react remains the same, the total number of such molecules is twice as great. Consequently, there is twice as much C4H8 per liter, and the reaction rate is twice as fast:

\(\text{rate}=-\phantom{\rule{0.2em}{0ex}}\cfrac{\text{Δ}\left[{\text{C}}_{4}{\text{H}}_{8}\right]}{\text{Δ}t}\phantom{\rule{0.1em}{0ex}}=k\left[{\text{C}}_{4}{\text{H}}_{8}\right]\)

A similar relationship applies to any unimolecular elementary reaction; the reaction rate is directly proportional to the concentration of the reactant, and the reaction exhibits first-order behavior. The proportionality constant is the rate constant for the particular unimolecular reaction.

This lesson is part of:

Chemical Kinetics

View Full Tutorial

Track Your Learning Progress

Sign in to unlock unlimited practice exams, tutorial practice quizzes, personalized weak area practice, AI study assistance with Lexi, and detailed performance analytics.