Addictive Alkaloids

Addictive Alkaloids

Since ancient times, plants have been used for medicinal purposes. One class of substances, called alkaloids, found in many of these plants has been isolated and found to contain cyclic molecules with an amine functional group. These amines are bases. They can react with H3O+ in a dilute acid to form an ammonium salt, and this property is used to extract them from the plant:

\({\text{R}}_{3}\text{N}+{\text{H}}_{3}{\text{O}}^{+}+{\text{Cl}}^{-}⟶\;[{\text{R}}_{3}{\text{NH}}^{+}]\;{\text{Cl}}^{-}+{\text{H}}_{2}\text{O}\)

The name alkaloid means “like an alkali.” Thus, an alkaloid reacts with acid. The free compound can be recovered after extraction by reaction with a base:

\([{\text{R}}_{3}{\text{NH}}^{+}]\;{\text{Cl}}^{-}+{\text{OH}}^{-}⟶\;{\text{R}}_{3}\text{N}+{\text{H}}_{2}\text{O}+{\text{Cl}}^{-}\)

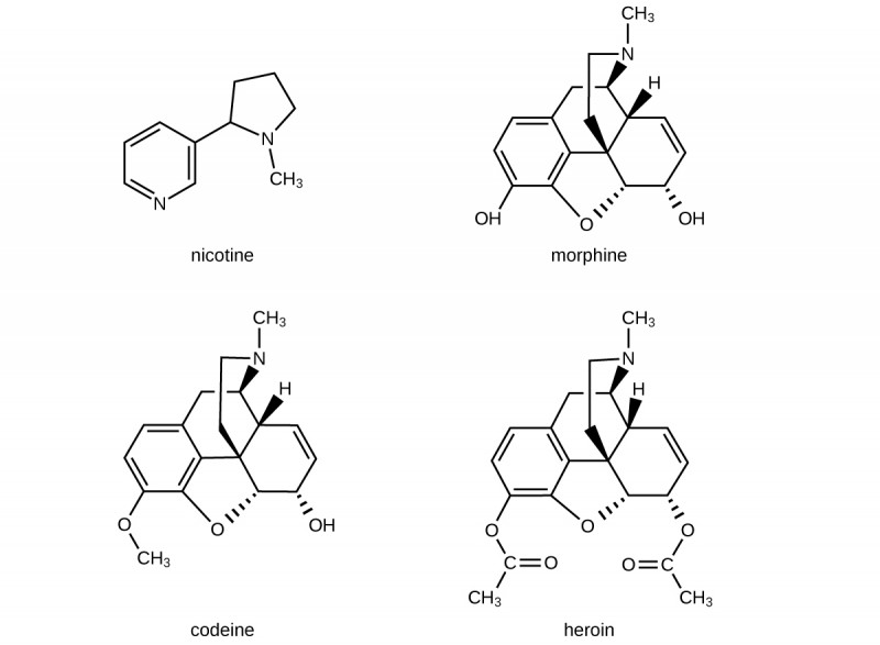
The structures of many naturally occurring alkaloids have profound physiological and psychotropic effects in humans. Examples of these drugs include nicotine, morphine, codeine, and heroin. The plant produces these substances, collectively called secondary plant compounds, as chemical defenses against the numerous pests that attempt to feed on the plant:Molecular structures of nicotine, morphine, codeine, and heroin are shown. These large structures share some common features, including rings. In the complex structures of morphine, codeine, and heroin, bonds to some O atoms in the structures are indicated with dashed wedges and bonds to some H atoms and N atoms are shown as solid wedges.

In these diagrams, as is common in representing structures of large organic compounds, carbon atoms in the rings and the hydrogen atoms bonded to them have been omitted for clarity. The solid wedges indicate bonds that extend out of the page. The dashed wedges indicate bonds that extend into the page. Notice that small changes to a part of the molecule change the properties of morphine, codeine, and heroin.

Morphine, a strong narcotic used to relieve pain, contains two hydroxyl functional groups, located at the bottom of the molecule in this structural formula. Changing one of these hydroxyl groups to a methyl ether group forms codeine, a less potent drug used as a local anesthetic. If both hydroxyl groups are converted to esters of acetic acid, the powerfully addictive drug heroin results (see the figure below).

This is a photo of a field of red-orange poppies.

Poppies can be used in the production of opium, a plant latex that contains morphine from which other opiates, such as heroin, can be synthesized. (credit: Karen Roe)

This lesson is part of:

Organic Chemistry

View Full Tutorial

Track Your Learning Progress

Sign in to unlock unlimited practice exams, tutorial practice quizzes, personalized weak area practice, AI study assistance with Lexi, and detailed performance analytics.