Factorising Sums and Differences of Cubes

Factorising Sums and Differences of Cubes

There is another special pattern for factoring, one that we did not use when we multiplied polynomials. This is the pattern for the sum and difference of cubes. We will write these formulas first and then check them by multiplication.

\(\begin{array}{c}\hfill {a}^{3}+{b}^{3}=\left(a+b\right)\left({a}^{2}-ab+{b}^{2}\right)\hfill \\ \hfill {a}^{3}-{b}^{3}=\left(a-b\right)\left({a}^{2}+ab+{b}^{2}\right)\hfill \end{array}\)

We’ll check the first pattern and leave the second to you.

.
Distribute. .
Multiply. \({a}^{3}-{a}^{2}b+{ab}^{2}+{a}^{2}b-{ab}^{2}+{b}^{3}\)
Combine like terms. \({a}^{3}+{b}^{3}\)

Sum and Difference of Cubes Pattern

\(\begin{array}{c}\hfill {a}^{3}+{b}^{3}=\left(a+b\right)\left({a}^{2}-ab+{b}^{2}\right)\hfill \\ \hfill {a}^{3}-{b}^{3}=\left(a-b\right)\left({a}^{2}+ab+{b}^{2}\right)\hfill \end{array}\)

The two patterns look very similar, don’t they? But notice the signs in the factors. The sign of the binomial factor matches the sign in the original binomial. And the sign of the middle term of the trinomial factor is the opposite of the sign in the original binomial. If you recognize the pattern of the signs, it may help you memorize the patterns.

This figure demonstrates the sign patterns in the sum and difference of two cubes. For the sum of two cubes, this figure shows the first two signs are plus and the first and the third signs are opposite, plus minus. The difference of two cubes has the first two signs the same, minus. The first and the third sign are minus plus.

The trinomial factor in the sum and difference of cubes pattern cannot be factored.

It can be very helpful if you learn to recognize the cubes of the integers from 1 to 10, just like you have learned to recognize squares. We have listed the cubes of the integers from 1 to 10 in the figure below.

This table has two rows. The first row is labeled n. The second row is labeled n cubed. The first row has the integers 1, 2, 3, 4, 5, 6, 7, 8, 9, 10. The second row has the perfect cubes 1, 8, 27, 64, 125, 216, 343, 512, 729, 1000.

Example: How to Factor the Sum or Difference of Cubes

Factor: \({x}^{3}+64\).

Solution

This table gives the steps for factoring x cubed + 64. The first step is to verify the binomial fits the pattern. Also, to check the sign for a sum or difference. This binomial is a sum that fits the pattern.The second step is to write the terms as cubes, x cubed + 4 cubed.The third step is follow the pattern for the sum of two cubes, (x + 4)(x squared minus x times 4 + 4 squared).The fourth step is to simplify, (x + 4)(x squared minus 4 x +16).The last step is to check the answer with multiplication.

Factor the sum or difference of cubes.

To factor the sum or difference of cubes:

  1. Does the binomial fit the sum or difference of cubes pattern?
    • Is it a sum or difference?
    • Are the first and last terms perfect cubes?
  2. Write them as cubes.
  3. Use either the sum or difference of cubes pattern.
  4. Simplify inside the parentheses
  5. Check by multiplying the factors.

Example

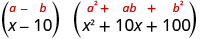
Factor: \({x}^{3}-1000\).

Solution

.
This binomial is a difference. The first and last terms are perfect cubes.
Write the terms as cubes. .
Use the difference of cubes pattern. .
Simplify. .
Check by multiplying.
.

Be careful to use the correct signs in the factors of the sum and difference of cubes.

Example

Factor: \(512-125{p}^{3}\).

Solution

.
This binomial is a difference. The first and last terms are perfect cubes.
Write the terms as cubes. .
Use the difference of cubes pattern. .
Simplify. .
Check by multiplying. We'll leave the check to you.

Example

Factor: \(27{u}^{3}-125{v}^{3}\).

Solution

.
This binomial is a difference. The first and last terms are perfect cubes.
Write the terms as cubes. .
Use the difference of cubes pattern. .
Simplify. .
Check by multiplying. We'll leave the check to you.

In the next example, we first factor out the GCF. Then we can recognize the sum of cubes.

Example

Factor: \(5{m}^{3}+40{n}^{3}\).

Solution

.
Factor the common factor. .
This binomial is a sum. The first and last terms are perfect cubes.
Write the terms as cubes. .
Use the sum of cubes pattern. .
Simplify. .

Check. To check, you may find it easier to multiply the sum of cubes factors first, then multiply that product by 5. We’ll leave the multiplication for you.

\(5\left(\stackrel{}{m+2n}\right)\left(\stackrel{}{{m}^{2}-2mn+4{n}^{2}}\right)\)

Resource:

Need more help? Check out these online resources for additional instruction and practice with factoring special products.

This lesson is part of:

Factoring and Factorisation I

View Full Tutorial

Track Your Learning Progress

Sign in to unlock unlimited practice exams, tutorial practice quizzes, personalized weak area practice, AI study assistance with Lexi, and detailed performance analytics.