Solving Quadratic Equations Using the Zero Product Property

Solving Quadratic Equations Using the Zero Product Property

We will first solve some quadratic equations by using the Zero Product Property. The Zero Product Property says that if the product of two quantities is zero, it must be that at least one of the quantities is zero. The only way to get a product equal to zero is to multiply by zero itself.

Zero Product Property

If \(a·b=0\), then either \(a=0\) or \(b=0\) or both.

We will now use the Zero Product Property, to solve a quadratic equation.

Example: How to Use the Zero Product Property to Solve a Quadratic Equation

Solve: \(\left(x+1\right)\left(x-4\right)=0\).

Solution

This table gives the steps for solving (x + 1)(x – 4) = 0. The first step is to set each factor equal to 0. Since it is a product equal to 0, at least one factor must equal 0. x + 1 = 0 or x – 4 = 0.The next step is to solve each linear equation. This gives two solutions, x = −1 or x = 4.The last step is to check both answers by substituting the values for x into the original equation.

We usually will do a little more work than we did in this last example to solve the linear equations that result from using the Zero Product Property.

Example

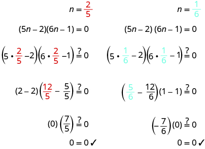
Solve: \(\left(5n-2\right)\left(6n-1\right)=0\).

Solution

\(\left(5n-2\right)\left(6n-1\right)=0\)
Use the Zero Product Property to set each factor to 0. \(5n-2=0\) \(6n-1=0\)
Solve the equations. \(n=\frac{2}{5}\) \(n=\frac{1}{6}\)
Check your answers.
.

This image shows the steps for solving (5 n – 2)(6 n – 1) = 0. First, use the zero factor property to set each factor equal to 0, 5 n – 2 = 0 or 6 n – 1 = 0. Then, solve the equations, n = 2/5 or n = 1/6. Finally, check the answers by substituting the two solutions back into the original equation.

Notice when we checked the solutions that each of them made just one factor equal to zero. But the product was zero for both solutions.

Example

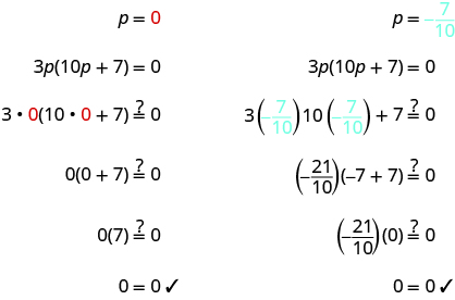
Solve: \(3p\left(10p+7\right)=0\).

Solution

\(\phantom{\rule{1.2em}{0ex}}3p\left(10p+7\right)=0\)
Use the Zero Product Property to set each factor to 0. \(3p=0\) \(10p+7=0\phantom{\rule{1.6em}{0ex}}\)
Solve the equations. \(p=0\) \(10p=-7\phantom{\rule{0.9em}{0ex}}\)
\(p=-\frac{7}{10}\)
Check your answers.
.

This image shows the steps for solving 3 p (10 p + 7) = 0. The first step is using the zero product property to set each factor equal to 0, 3p = 0 or 10 p + 7 = 0. The next step is solving both equations, p = 0 or p = negative 7/10. Finally, check the solutions by substituting the answers into the original equation.

It may appear that there is only one factor in the next example. Remember, however, that \({\left(y-8\right)}^{2}\) means \(\left(y-8\right)\left(y-8\right)\).

Example

Solve: \({\left(y-8\right)}^{2}=0\).

Solution

\({\left(y-8\right)}^{2}=0\)
Rewrite the left side as a product. \(\left(y-8\right)\left(y-8\right)=0\)
Use the Zero Product Property and set each factor to 0. \(y-8=0\) \(y-8=0\)
Solve the equations. \(y=8\) \(y=8\)
When a solution repeats, we call it a double root.
Check your answer.
.

This image above shows the steps for solving the equation (y – 8) squared = 0. The first step is to write the left hand side as a product, (y – 8)(y – 8) = 0. The next step is using the zero product property and set each factor equal to 0, y – 8 = 0 and y – 8 -= 0. Solve both equations, y = 8 and y = 8. When the solution repeats, it is a double root. Finally, check the solution by substituting back into the original equation.

This lesson is part of:

Factoring and Factorisation I

View Full Tutorial

Track Your Learning Progress

Sign in to unlock unlimited practice exams, tutorial practice quizzes, personalized weak area practice, AI study assistance with Lexi, and detailed performance analytics.