Solving a Formula for a Specific Variable

Solving a Formula for a Specific Variable

In this tutorial, you became familiar with some formulas used in geometry. Formulas are also very useful in the sciences and social sciences—fields such as chemistry, physics, biology, psychology, sociology, and criminal justice. Healthcare workers use formulas, too, even for something as routine as dispensing medicine. The widely used spreadsheet program Microsoft ExcelTM relies on formulas to do its calculations. Many teachers use spreadsheets to apply formulas to compute student grades. It is important to be familiar with formulas and be able to manipulate them easily.

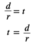
In the previous lesson, we used the formula \(d=rt.\) This formula gives the value of \(d\) when you substitute in the values of \(r\) and \(t.\) But in the example below, we had to find the value of \(t.\) We substituted in values of \(d\) and \(r\) and then used algebra to solve to \(t.\) If you had to do this often, you might wonder why there isn’t a formula that gives the value of \(t\) when you substitute in the values of \(d\) and \(r.\) We can get a formula like this by solving the formula \(d=rt\) for \(t.\)

To solve a formula for a specific variable means to get that variable by itself with a coefficient of \(1\) on one side of the equation and all the other variables and constants on the other side. We will call this solving an equation for a specific variable in general. This process is also called solving a literal equation. The result is another formula, made up only of variables. The formula contains letters, or literals.

Let’s try a few examples, starting with the distance, rate, and time formula we used above.

Example

Solve the formula \(d=rt\) for \(t\text{:}\)

  1. when \(d=520\) and \(r=65\)
  2. in general.

Solution

We’ll write the solutions side-by-side so you can see that solving a formula in general uses the same steps as when we have numbers to substitute.

when d = 520 and r = 65 in general
Write the formula. . .
Substitute any given values. .
Divide to isolate t. . .
Simplify. . .

Notice that the solution for (a) is the same as that from the previous example. We say the formula \(t=\frac{d}{r}\) is solved for \(t.\) We can use this version of the formula anytime we are given the distance and rate and need to find the time.

We used the formula \(A=\frac{1}{2}bh\) earlier to find the area of a triangle when we were given the base and height. In the next example, we will solve this formula for the height.

Example

The formula for area of a triangle is \(A=\frac{1}{2}bh.\) Solve this formula for \(h\text{:}\)

  1. when \(A=90\) and \(b=15\)
  2. in general

Solution

when A = 90 and b = 15 in general
Write the forumla. . .
Substitute any given values. .
Clear the fractions. . .
Simplify. . .
Solve for h. . .

We can now find the height of a triangle, if we know the area and the base, by using the formula

\(h=\frac{2A}{b}\)

In a previous tutorial, we used the formula \(I=Prt\) to calculate simple interest, where \(I\) is interest, \(P\) is principal, \(r\) is rate as a decimal, and \(t\) is time in years.

Example

Solve the formula \(I=Prt\) to find the principal, \(P\text{:}\)

  1. when \(I=\text{\$5,600},\phantom{\rule{0.2em}{0ex}}r=\text{4%},\phantom{\rule{0.2em}{0ex}}t=7\phantom{\rule{0.2em}{0ex}}\text{years}\)
  2. in general

Solution

I = $5600, r = 4%, t = 7 years in general
Write the forumla. . .
Substitute any given values. . .
Multiply rt. . .
Divide to isolate P. . .
Simplify. . .
State the answer. The principal is $20,000. .

Later in this class, and in future algebra classes, you’ll encounter equations that relate two variables, usually \(x\) and \(y.\) You might be given an equation that is solved for \(y\) and need to solve it for \(x,\) or vice versa. In the following example, we’re given an equation with both \(x\) and \(y\) on the same side and we’ll solve it for \(y.\) To do this, we will follow the same steps that we used to solve a formula for a specific variable.

Example

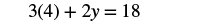
Solve the formula \(3x+2y=18\) for \(y\text{:}\)

  1. when \(x=4\)
  2. in general

Solution

when x = 4 in general
Write the equation. . .
Substitute any given values. . .
Simplify if possible. . .
Subtract to isolate the y-term. . .
Simplify. . .
Divide. . .
Simplify. . .

In the previous examples, we used the numbers in part (a) as a guide to solving in general in part (b). Do you think you’re ready to solve a formula in general without using numbers as a guide?

Example

Solve the formula \(P=a+b+c\) for \(a.\)

Solution

We will isolate \(a\) on one side of the equation.

We will isolate a on one side of the equation.
Write the equation. \(P=a+b+c\)
Subtract b and c from both sides to isolate a. .
Simplify. \(P-b-c=a\)

So, \(a=P-b-c\)

Example

Solve the equation \(3x+y=10\) for \(y.\)

Solution

We will isolate \(y\) on one side of the equation.

We will isolate y on one side of the equation.
Write the equation. \(3x+y=10\)
Subtract 3x from both sides to isolate y. .
Simplify. \(y=10-3x\)

Example

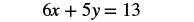
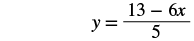
Solve the equation \(6x+5y=13\) for \(y.\)

Solution

We will isolate \(y\) on one side of the equation.

We will isolate y on one side of the equation.
Write the equation. .
Subtract to isolate the term with y. .
Simplify. .
Divide 5 to make the coefficient 1. .
Simplify. .

Optional Video: Simple Interest

Optional Video: Solving a Formula for a Specific Variable

Optional Video: Solving a Formula for a Specific Variable II

Key Concept

  • Distance, Rate, and Time
    • \(d=rt\)

This lesson is part of:

Math Models and Geometry I

View Full Tutorial

Track Your Learning Progress

Sign in to unlock unlimited practice exams, tutorial practice quizzes, personalized weak area practice, AI study assistance with Lexi, and detailed performance analytics.