Using the Properties of Triangles

Using the Properties of Triangles

We now know how to find the area of a rectangle. We can use this fact to help us visualize the formula for the area of a triangle. In the rectangle from the previous lesson, we’ve labeled the length \(b\) and the width \(h,\) so it’s area is \(bh.\)

A rectangle is shown. The side is labeled h and the bottom is labeled b. The center says A equals bh.

The area of a rectangle is the base, \(b,\) times the height, \(h.\)

We can divide this rectangle into two congruent triangles (see the figure below). Triangles that are congruent have identical side lengths and angles, and so their areas are equal. The area of each triangle is one-half the area of the rectangle, or \(\frac{1}{2}bh.\) This example helps us see why the formula for the area of a triangle is \(A=\frac{1}{2}bh.\)

A rectangle is shown. A diagonal line is drawn from the upper left corner to the bottom right corner. The side of the rectangle is labeled h and the bottom is labeled b. Each triangle says one-half bh. To the right of the rectangle, it says “Area of each triangle,” and shows the equation A equals one-half bh.

A rectangle can be divided into two triangles of equal area. The area of each triangle is one-half the area of the rectangle.

The formula for the area of a triangle is \(A=\frac{1}{2}bh,\) where \(b\) is the base and \(h\) is the height.

To find the area of the triangle, you need to know its base and height. The base is the length of one side of the triangle, usually the side at the bottom. The height is the length of the line that connects the base to the opposite vertex, and makes a \(\text{90°}\) angle with the base. The figure below shows three triangles with the base and height of each marked.

Three triangles are shown. The triangle on the left is a right triangle. The bottom is labeled b and the side is labeled h. The middle triangle is an acute triangle. The bottom is labeled b. There is a dotted line from the top vertex to the base of the triangle, forming a right angle with the base. That line is labeled h. The triangle on the right is an obtuse triangle. The bottom of the triangle is labeled b. The base has a dotted line extended out and forms a right angle with a dotted line to the top of the triangle. The vertical line is labeled h.

The height \(h\) of a triangle is the length of a line segment that connects the the base to the opposite vertex and makes a \(\text{90°}\) angle with the base.

Definition: Triangle Properties

For any triangle \(\text{Δ}ABC,\) the sum of the measures of the angles is \(\text{180°}.\)

\(m\text{∠}A+m\text{∠}B+m\text{∠}C=\text{180°}\)

The perimeter of a triangle is the sum of the lengths of the sides.

\(P=a+b+c\)

The area of a triangle is one-half the base, \(b,\) times the height, \(h.\)

\(A=\frac{1}{2}\phantom{\rule{0.1em}{0ex}}bh\)

A triangle is shown. The vertices are labeled A, B, and C. The sides are labeled a, b, and c. There is a vertical dotted line from vertex B at the top of the triangle to the base of the triangle, meeting the base at a right angle. The dotted line is labeled h.

Optional Video: Area of a Triangle

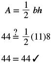
Example

Find the area of a triangle whose base is \(11\) inches and whose height is \(8\) inches.

Solution

Step 1. Read the problem. Draw the figure and label it with the given information. .
Step 2. Identify what you are looking for. the area of the triangle
Step 3. Name. Choose a variable to represent it. let A = area of the triangle
Step 4.Translate.
Write the appropriate formula.
Substitute.
.
Step 5. Solve the equation. .
Step 6. Check:
.
Step 7. Answer the question. The area is 44 square inches.

Example

The perimeter of a triangular garden is \(24\) feet. The lengths of two sides are \(4\) feet and \(9\) feet. How long is the third side?

Solution

Step 1. Read the problem. Draw the figure and label it with the given information. .
Step 2. Identify what you are looking for. length of the third side of a triangle
Step 3. Name. Choose a variable to represent it. Let c = the third side
Step 4.Translate.
Write the appropriate formula.
Substitute in the given information.
.
Step 5. Solve the equation. .
Step 6. Check:
.
Step 7. Answer the question. The third side is 11 feet long.

Example

The area of a triangular church window is \(90\) square meters. The base of the window is \(15\) meters. What is the window’s height?

Solution

Step 1. Read the problem. Draw the figure and label it with the given information. .
Step 2. Identify what you are looking for. height of a triangle
Step 3. Name. Choose a variable to represent it. Let h = the height
Step 4.Translate.
Write the appropriate formula.
Substitute in the given information.
.
Step 5. Solve the equation. .
Step 6. Check:
.
Step 7. Answer the question. The height of the triangle is 12 meters.

Isosceles and Equilateral Triangles

Besides the right triangle, some other triangles have special names. A triangle with two sides of equal length is called an isosceles triangle. A triangle that has three sides of equal length is called an equilateral triangle. The figure below shows both types of triangles.

Two triangles are shown. All three sides of the triangle on the left are labeled s. It is labeled “equilateral triangle”. Two sides of the triangle on the right are labeled s. It is labeled “isosceles triangle”.

In an isosceles triangle, two sides have the same length, and the third side is the base. In an equilateral triangle, all three sides have the same length.

Definition: Isosceles and Equilateral Triangles

An isosceles triangle has two sides the same length.

An equilateral triangle has three sides of equal length.

Example

The perimeter of an equilateral triangle is \(93\) inches. Find the length of each side.

Solution

Step 1. Read the problem. Draw the figure and label it with the given information. .
Perimeter = 93 in.
Step 2. Identify what you are looking for. length of the sides of an equilateral triangle
Step 3. Name. Choose a variable to represent it. Let s = length of each side
Step 4.Translate.
Write the appropriate formula.
Substitute.
.
Step 5. Solve the equation. .
Step 6. Check:
.
.
Step 7. Answer the question. Each side is 31 inches.

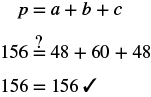
Example

Arianna has \(156\) inches of beading to use as trim around a scarf. The scarf will be an isosceles triangle with a base of

\(60\) inches. How long can she make the two equal sides?

Solution

Step 1. Read the problem. Draw the figure and label it with the given information. .
P = 156 in.
Step 2. Identify what you are looking for. the lengths of the two equal sides
Step 3. Name. Choose a variable to represent it. Let s = the length of each side
Step 4.Translate.
Write the appropriate formula.
Substitute in the given information.
.
Step 5. Solve the equation. .
Step 6. Check:
.
Step 7. Answer the question. Arianna can make each of the two equal sides 48 inches long.

Optional Video: Area of a Triangle with Fractions

This lesson is part of:

Math Models and Geometry I

View Full Tutorial

Track Your Learning Progress

Sign in to unlock unlimited practice exams, tutorial practice quizzes, personalized weak area practice, AI study assistance with Lexi, and detailed performance analytics.