Dividing a Polynomial By a Binomial

Dividing a Polynomial By a Binomial

To divide a polynomial by a binomial, we follow a procedure very similar to long division of numbers. So let’s look carefully the steps we take when we divide a 3-digit number, 875, by a 2-digit number, 25.

We write the long division The long division of 875 by 25.
We divide the first two digits, 87, by 25. 25 fits into 87 three times. 3 is written above the second digit of 875 in the long division bracket.
We multiply 3 times 25 and write the product under the 87. The product of 3 and 25 is 75, which is written below the first two digits of 875 in the long division bracket.
Now we subtract 75 from 87. 87 minus 75 is 12, which is written under 75.
Then we bring down the third digit of the dividend, 5. The 5 in 875 is brought down next to the 12, making 125.
Repeat the process, dividing 25 into 125. 25 fits into 125 five times. 5 is written to the right of the 3 on top of the long division bracket. 5 times 25 is 125. 125 minus 125 is zero. There is zero remainder, so 25 fits into 125 exactly five times. 875 divided by 25 equals 35.

We check division by multiplying the quotient by the divisor.

If we did the division correctly, the product should equal the dividend.

\(\begin{array}{c}\hfill 35·25\hfill \\ \hfill 875\phantom{\rule{0.2em}{0ex}}\text{✓}\hfill \end{array}\)

Now we will divide a trinomial by a binomial. As you read through the example, notice how similar the steps are to the numerical example above.

Example

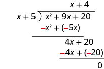
Find the quotient: \(\left({x}^{2}+9x+20\right)÷\left(x+5\right).\)

Solution

A trinomial, x squared plus 9 x plus 20, divided by a binomial, x plus 5.
Write it as a long division problem.
Be sure the dividend is in standard form. The long division of x squared plus 9 x plus 20 by x plus 5
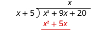
Divide x2 by x. It may help to ask yourself, "What do I need to multiply x by to get x2?"
Put the answer, x, in the quotient over the x term. x fits into x squared x times. x is written above the second term of x squared plus 9 x plus 20 in the long division bracket.
Multiply x times x + 5. Line up the like terms under the dividend. The product of x and x plus 5 is x squared plus 5 x, which is written below the first two terms of x squared plus 9x plus 20 in the long division bracket.
Subtract x2 + 5x from x2 + 9x.
You may find it easier to change the signs and then add.
Then bring down the last term, 20.
The sum of x squared plus 9 x and negative x squared plus negative 5 x is 4 x, which is written underneath the negative 5 x. The third term in x squared plus 9 x plus 20 is brought down next to 4 x, making 4 x plus 20.
Divide 4x by x. It may help to ask yourself, "What do I need to multiply x by to get 4x?"
Put the answer, 4, in the quotient over the constant term. 4 x divided by x is 4. Plus 4 is written on top of the long division bracket, next to x and above the 20 in x squared plus 9 x plus 20.
Multiply 4 times x + 5. x plus 5 times 4 is 4 x plus 20, which is written under the first 4 x plus 20.
Subtract 4x + 20 from 4x + 20. 4 x plus 20 minus 4 x plus 20 is 0. The remainder is 0. x squared plus 9 x plus 20 divided by x plus 5 equals x plus 4.
Check:
Multiply the quotient by the divisor.
(x + 4)(x + 5)
You should get the dividend.
x2 + 9x + 20✓

When the divisor has subtraction sign, we must be extra careful when we multiply the partial quotient and then subtract. It may be safer to show that we change the signs and then add.

Example

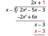
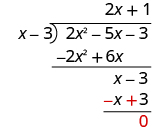
Find the quotient: \(\left(2{x}^{2}-5x-3\right)÷\left(x-3\right).\)

Solution

A trinomial, 2 x squared minus 5 x minus 3, divided by a binomial, x minus 3.
Write it as a long division problem.
Be sure the dividend is in standard form. The long division of 2 x squared minus 5 x minus 3 by x minus 3.
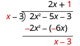
Divide 2x2 by x.
Put the answer, 2x, in the quotient over the x term.
x fits into 2 x squared 2 x times. 2 x is written above the second term of 2 x squared minus 5 x minus 3 in the long division bracket.
Multiply 2x times x − 3. Line up the like terms under the dividend. The product of 2 x and x minus 3 is 2 x squared minus 6 x, which is written below the first two terms of 2 x squared minus 5 x minus 3 in the long division bracket.
Subtract 2x2 − 6x from 2x2 − 5x.
Change the signs and then add.
Then bring down the last term.
The sum of 2 x squared minus 5 x and negative 2 x squared plus 6 x is x, which is written underneath the 6 x. The third term in 2 x squared minus 5 x minus 3 is brought down next to x, making x minus 3.
Divide x by x.
Put the answer, 1, in the quotient over the constant term.
Plus 1 is written on top of the long division bracket, next to 2 x and above the minus 3 in 2 x squared minus 5 x minus 3.
Multiply 1 times x − 3. x minus 3 times 1 is x minus 3, which is written under the first x minus 3.
Subtract x − 3 from x − 3 by changing the signs and adding. The binomial x minus 3 minus the binomial negative x plus 3 is 0. The remainder is 0. 2 x squared minus 5 x minus 3 divided by x minus 3 equals 2 x plus 1.
To check, multiply (x − 3)(2x + 1).
The result should be 2x2 − 5x − 3.

When we divided 875 by 25, we had no remainder. But sometimes division of numbers does leave a remainder. The same is true when we divide polynomials. In the example below, we’ll have a division that leaves a remainder. We write the remainder as a fraction with the divisor as the denominator.

Example

Find the quotient: \(\left({x}^{3}-{x}^{2}+x+4\right)÷\left(x+1\right).\)

Solution

A polynomial, x cubed minus x squared plus x plus 4, divided by another polynomial, x plus 1.
Write it as a long division problem.
Be sure the dividend is in standard form. The long division of x cubed minus x squared plus x plus 4 by x plus 1.
Divide x3 by x.
Put the answer, x2, in the quotient over the x2 term.
Multiply x2 times x + 1. Line up the like terms under the dividend.
x fits into x squared x times. x is written above the second term of x cubed minus x squared plus x plus 4 in the long division bracket.
Subtract x3 + x2 from x3x2 by changing the signs and adding.
Then bring down the next term.
The sum of x cubed minus x squared and negative x cubed plus negative x squared is negative 2 x squared, which is written underneath the negative x squared. The next term in x cubed minus x squared plus x plus 4 is brought down next to negative 2 x squared, making negative 2 x squared plus x.
Divide −2x2 by x.
Put the answer, −2x, in the quotient over the x term.
Multiply −2x times x + 1. Line up the like terms under the dividend.
Minus 2 x is written on top of the long division bracket, next to x squared and above the x in x cubed minus x squared plus x plus 4. Negative 2 x squared minus 2 x is written under negative 2 x squared plus x.
Subtract −2x2 − 2x from −2x2 + x by changing the signs and adding.
Then bring down the last term.
The sum of negative 2 x squared plus x and 2 x squared plus 2 x is found to be 3 x. The last term in x cubed minus x squared plus x plus 4 is brought down, making 3 x plus 4.
Divide 3x by x.
Put the answer, 3, in the quotient over the constant term.
Multiply 3 times x + 1. Line up the like terms under the dividend.
Plus 3 is written on top of the long division bracket, above the 4 in x cubed minus x squared plus x plus 4. 3 x plus 3 is written under 3 x plus 4.
Subtract 3x + 3 from 3x + 4 by changing the signs and adding.
Write the remainder as a fraction with the divisor as the denominator.
The sum of 3 x plus 4 and negative 3 x plus negative 3 is 1. Therefore, the polynomial x cubed minus x squared plus x plus 4, divided by the binomial x plus 1, equals x squared minus 2 x plus the fraction 1 over x plus 1.
To check, multiply \(\left(x+1\right)\left({x}^{2}-2x+3+\frac{1}{x+1}\right).\)
The result should be \({x}^{3}-{x}^{2}+x+4\).

Look back at the dividends in the examples above. The terms were written in descending order of degrees, and there were no missing degrees. The dividend in the example below will be \({x}^{4}-{x}^{2}+5x-2\). It is missing an \({x}^{3}\) term. We will add in \(0{x}^{3}\) as a placeholder.

Example

Find the quotient: \(\left({x}^{4}-{x}^{2}+5x-2\right)÷\left(x+2\right).\)

Solution

Notice that there is no \({x}^{3}\) term in the dividend. We will add \(0{x}^{3}\) as a placeholder.

A polynomial, x to the fourth power minus x squared minus 5 x minus 2, divided by another polynomial, x plus 2.
Write it as a long division problem. Be sure the dividend is in standard form with placeholders for missing terms. The long division of x to the fourth power plus 0 x cubed minus x squared minus 5 x minus 2 by x plus 2.
Divide x4 by x.
Put the answer, x3, in the quotient over the x3 term.
Multiply x3 times x + 2. Line up the like terms.
Subtract and then bring down the next term.
x cubed is written on top of the long division bracket above the x cubed term in the dividend. Below the first two terms of the dividend x to the fourth power plus 2 x cubed is subtracted to give negative 2 x cubed minus x squared. A note next to the division reads “It may be helpful to change the signs and add.”
Divide −2x3 by x.
Put the answer, −2x2, in the quotient over the x2 term.
Multiply −2x2 times x + 1. Line up the like terms.
Subtract and bring down the next term.
x cubed minus 2 x squared is written on top of the long division bracket. At the bottom of the long division negative 2 x cubed minus 4 x squared is subtracted to give 3 x squared plus 5 x. A note reads “It may be helpful to change the signs and add.”
Divide 3x2 by x.
Put the answer, 3x, in the quotient over the x term.
Multiply 3x times x + 1. Line up the like terms.
Subtract and bring down the next term.
x cubed minus 2 x squared plus 3 x is written on top of the long division bracket. At the bottom of the long division 3 x squared plus 6 x is subtracted to give negative x minus 2. A note reads “It may be helpful to change the signs and add.”
Divide −x by x.
Put the answer, −1, in the quotient over the constant term.
Multiply −1 times x + 1. Line up the like terms.
Change the signs, add.
x cubed minus 2 x squared plus 3 x minus 1 is written on top of the long division bracket. At the bottom of the long division negative x minus 2 is subtract to give 0. A note reads “It may be helpful to change the signs and add.” The polynomial x to the fourth power minus x squared plus 5 x minus 2, divided by the binomial x plus 2 equals the polynomial x cubed minus 2 x squared plus 3 x minus 1.
To check, multiply \(\left(x+2\right)\left({x}^{3}-2{x}^{2}+3x-1\right)\).
The result should be \({x}^{4}-{x}^{2}+5x-2\).

In the example below, we will divide by \(2a-3\). As we divide we will have to consider the constants as well as the variables.

Example

Find the quotient: \(\left(8{a}^{3}+27\right)÷\left(2a+3\right).\)

Solution

This time we will show the division all in one step. We need to add two placeholders in order to divide.

The figure shows the long division of 8 a cubed plus 27 by 2 a plus 3. In the long division bracket, placeholders 0 a squared and 0 a are added into the polynomial. On the first line under the dividend 8 a cubed plus 12 a squared is subtracted. To the right, an arrow indicates that this value came from multiplying 4 a squared by 2 a plus 3. The subtraction gives negative 12 a squared plus 0 a. From this negative 12 a squared minus 18 a is subtracted. To the right, an arrow indicates that this value came from multiplying 6 a by 2 a plus 3. The subtraction give 18 a plus 27. From this 18 a plus 27 is subtracted. To the right, an arrow indicates that this value came from multiplying 9 by 2 a plus 3. The result is 0.

To check, multiply \(\left(2a+3\right)\left(4{a}^{2}-6a+9\right)\).

The result should be \(8{a}^{3}+27\).

Optional Videos:

You can watch the following videos for additional instruction and practice with dividing polynomials:

Divide a Polynomial by a Monomial

Divide a Polynomial by a Monomial 2

Divide Polynomial by Binomial

Key Concepts

  • Fraction Addition
    • If \(a,b,\phantom{\rule{0.2em}{0ex}}\text{and}\phantom{\rule{0.2em}{0ex}}c\) are numbers where \(c\ne 0\), then
      \(\frac{a}{c}+\frac{b}{c}=\frac{a+b}{c}\phantom{\rule{0.5em}{0ex}}\text{and}\phantom{\rule{0.5em}{0ex}}\frac{a+b}{c}=\frac{a}{c}+\frac{b}{c}\)
  • Division of a Polynomial by a Monomial
    • To divide a polynomial by a monomial, divide each term of the polynomial by the monomial.

This lesson is part of:

Polynomials II

View Full Tutorial

Track Your Learning Progress

Sign in to unlock unlimited practice exams, tutorial practice quizzes, personalized weak area practice, AI study assistance with Lexi, and detailed performance analytics.