Multiplying a Binomial By a Binomial

Multiplying a Binomial By a Binomial

Just like there are different ways to represent multiplication of numbers, there are several methods that can be used to multiply a binomial times a binomial. We will start by using the Distributive Property.

Multiply a Binomial by a Binomial Using the Distributive Property

Look at this example from the previous lesson, where we multiplied a binomial by a monomial.

x plus 3, in parentheses, times p. Two arrows extend from the p, terminating at x and 3.
We distributed the p to get: x p plus 3 p.
What if we have (x + 7) instead of p? x plus 3 multiplied by x plus 7. Two arrows extend from x plus 7, terminating at the x and the 3 in the first binomial.
Distribute (x + 7). The sum of two products. The product of x and x plus 7, plus the product of 3 and x plus 7.
Distribute again. x squared plus 7 x plus 3 x plus 21.
Combine like terms. x squared plus 10 x plus 21.

Notice that before combining like terms, you had four terms. You multiplied the two terms of the first binomial by the two terms of the second binomial—four multiplications.

Example

Multiply: \(\left(y+5\right)\left(y+8\right).\)

Solution

The product of two binomials, y plus 5 and y plus 8. Two arrows extend from y plus 8, terminating at the y and the 5 in the first binomial.
Distribute (y + 8). The sum of two products, the product of y and y plus 8, plus the product of 5 and y plus 8.
Distribute again y squared plus 8 y plus 5 y plus 40.
Combine like terms. y squared plus 13 y plus 40.

Example

Multiply: \(\left(2y+5\right)\left(3y+4\right).\)

Solution

The product of two binomials, 2 y plus 5 and 3 y plus 4. Two arrows extend from 3y plus 4, terminating at 2y and 5 in the first binomial.
Distribute (3y + 4). The sum of two products, the product of 2 y and 3 y plus 4, plus the product of 5 and 3 y plus 4.
Distribute again 6 y squared plus 8 y plus 15 y plus 20.
Combine like terms. 6 y squared plus 23 y plus 20.

Example

Multiply: \(\left(4y+3\right)\left(2y-5\right).\)

Solution

The product of two binomials, 4y plus 3 and 2 y minus 5. Two arrows extend from 2y minus 5, terminating at 4 y and 3 in the first binomial.
Distribute. The sum of two products, the product of 4y and 2y minus 5, plus the product of 3 and 2y minus 5.
Distribute again. 8 y squared minus 20 y plus 6 y minus 15.
Combine like terms. 18 y squared minus 14 y minus 15.

Example

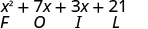
Multiply: \(\left(x+2\right)\left(x-y\right).\)

Solution

The product of two binomials, x minus 2 and x minus y. Two arrows extend from x minus y, terminating at x and 2 in the first binomial.
Distribute. The difference of two products. The product of x and x minus 7, minus the product of 2 and x minus y.
Distribute again. x squared minus x y minus 2 x plus 2 y.
There are no like terms to combine.

Multiply a Binomial by a Binomial Using the FOIL Method

Remember that when you multiply a binomial by a binomial you get four terms. Sometimes you can combine like terms to get a trinomial, but sometimes, like in the example above, there are no like terms to combine.

Let’s look at the last example again and pay particular attention to how we got the four terms.

\(\begin{array}{c}\hfill \left(x-2\right)\left(x-y\right)\hfill \\ \hfill {x}^{2}-xy-2x+2y\hfill \end{array}\)

Where did the first term, \({x}^{2}\), come from?

This figure explains how to multiply a binomial using the FOIL method. It has two columns, with written instructions on the left and math on the right. At the top of the figure, the text in the left column says “It is the product of x and x, the first terms in x minus 2 and x minus y.” In the right column is the product of x minus 2 and x minus y. An arrow extends from the x in x minus 2, and terminates at the x in x minus y. Below this is the word “First.” One row down, the text in the left column says “The next terms, negative xy, is the product of x and negative y, the two outer terms.” In the right column is the product of x minus 2 and x minus y, with another arrow extending from the x in x minus 2 to the y in x minus y. Below this is the word “Outer.” One row down, the text in the left column says “The third term, negative 2 x, is the product of negative 2 and x, the two inner terms.” In the right column is the product of x minus 2 and x minus y with a third arrow extending from minus 2 in x minus 2 and terminating at the x in x minus y. Below this is the word “Inner.” In the last row, the text in the left column says “And the last term, plus 2y, came from multiplying the two last terms, negative 2 and negative y.” In the right column is the product of x minus 2 and x minus y, with a fourth arrow extending from the minus 2 in x minus 2 to the minus y in x minus y. Below this is the word “Last.”

We abbreviate “First, Outer, Inner, Last” as FOIL. The letters stand for ‘First, Outer, Inner, Last’. The word FOIL is easy to remember and ensures we find all four products.

\(\begin{array}{c}\hfill \left(x-2\right)\left(x-y\right)\hfill \\ \hfill \underset{F\phantom{\rule{2em}{0ex}}O\phantom{\rule{2.5em}{0ex}}I\phantom{\rule{2.5em}{0ex}}L}{{x}^{2}-xy-2x+2y}\hfill \end{array}\)

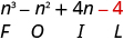
Let’s look at \(\left(x+3\right)\left(x+7\right)\).

Distibutive Property FOIL
The product of x plus 3 and x plus 7. The product of x plus 3 and x plus y. An arrow extends from the x in x plus 3 to the x in x plus 7. A second arrow extends from the x in x plus 3 to the 7 in x plus 7. A third arrow extends from the 3 in x plus 3 to the x in x plus 7. A fourth arrow extends from the 3 in x plus 3 to the 7 in x plus 7.
The sum of two products, the product of x and x plus 7, and the product of 3 and x plus 7.
x squared plus 7 x plus 3 x plus 21. Below x squared is the letter F, below 7 x is the letter O, below 3 x is the letter I, and below 21 is the letter L, spelling FOIL. x squared plus 7 x plus 3 x plus 21. Below x squared is the letter F, below 7 x is the letter O, below 3 x is the letter I, and below 21 is the letter L, spelling FOIL.
x squared plus 10 x plus 21. x squared plus 10 x plus 21.

Notice how the terms in third line fit the FOIL pattern.

Now we will do an example where we use the FOIL pattern to multiply two binomials.

Example: How to Multiply a Binomial by a Binomial using the FOIL Method

Multiply using the FOIL method: \(\left(x+5\right)\left(x+9\right).\)

Solution

This figure is a table that has three columns and five rows. The first column is a header column, and it contains the names and numbers of each step. The second and third columns contain math. On the top row of the table, the first cell on the left reads “Step 1. Multiply the first terms.” The second column contains the product of binomials x plus 5 and x plus 9. Below this is the product of x plus 5 and x plus 9 again, with an arrow extending from the x in the first binomial to the x in the second binomial. The third column contains x squared plus blank plus blank plus blank. Below the x squared is the letter F, and below each of the three blanks are the letters O, I, and L, respectively.In the second row, the first cell reads “Step 2. Multiply the outer terms.” In the second cell is the product of x plus 5 and x plus 9 again, with an arrow extending from x in the first binomial to the 9 in the second binomial. The third cell contains x squared plus 9x plus blank plus blank, with the letter F under the x squared, O under the 9x, and I and L beneath the two blanks.In the third row, the first cell reads “Step 3. Multiply the inner terms.” The second cell contains the product of x plus 5 and x plus 9 again, with an arrow extending from 5 in the first binomial to the x in the second binomial. The third cell contains x squared plus 9x plus 5x plus blank, with F beneath x squared, O beneath 9x, I beneath 5x, and L beneath the blank.In the fourth row, the first cell reads “Step 4. Multiply the last terms.” In the second cell is the product of x plus 5 and x plus 9 again, with an arrow extending from 5 in the first binomial to 9 in the second binomial. The third cell contains x squared plus 9x plus 6x plus 45, with F beneath x squared, O beneath 9x, I beneath 6x, and L beneath 45.In the final row, the first cell reads “Step 5. Combine like terms, when possible.” The second cell is blank. The third cell contains the final expression: x squared plus 15x plus 45.

We summarize the steps of the FOIL method below. The FOIL method only applies to multiplying binomials, not other polynomials!

Multiply two binomials using the FOIL method

.

When you multiply by the FOIL method, drawing the lines will help your brain focus on the pattern and make it easier to apply.

Example

Multiply: \(\left(y-7\right)\left(y+4\right).\)

Solution

This figure has three columns, with written instructions in the first column and math in the second and third columns. At the top of the figure, the text in the first column says “Multiply the first terms.” The second column contains the product of two binomials, y minus 7 and y plus 4, with an arrow extending from the y in the first binomial to the y in the second binomial. The third column contains y squared plus blank plus blank plus blank. Beneath y squared is the letter F and beneath each blank are the letters O, I, and L, respectively. One row down, the text in the first column says “Multiply the outer terms.” The second column contains the product of y minus 7 and y plus 4 again, with a second arrow extending from y in the first binomial to 4 in the second binomial. The third column contains y squared plus 4y plus blank plus blank. Below y squared is F, below 4y is O, and below the blanks are I and L. One row down, the text in the first column says “Multiply the inner terms.” The middle column contains the product of y minus 7 and y plus 4 again, with a third arrow extending from the minus 7 in the first binomial to the y in the second binomial. The third column contains y squared plus 4y minus 7y plus blank. One row down, the text in the first column says “Multiply the last terms.” The second column contains the product of y minus 7 and y plus 4 again, with a fourth arrow extending from minus 7 in the first binomial to 4 in the second binomial. In the third column is the full expression, y squared plus 4y minus 7y minus 28, with each letter of FOIL beneath each of the terms. At the bottom of the image, the text in the first column says “Combine like terms.” In the right column is y squared minus 3y minus 28.

Example

Multiply: \(\left(4x+3\right)\left(2x-5\right).\)

Solution

This figure has three columns. At the top of the figure, the second column contains the product of two binomials, 4x plus 3 and 2x minus 5. One row down, the text in the first column says “Multiply the first terms. 4x times 2x.” The second column contains 8x squared plus blank plus blank plus blank. Beneath 8x squared is the letter F and beneath each blank are the letters O, I, and L, respectively. One row down, the text in the first column says “Multiply the outer terms. 4x times negative 5.” The second column contains 8x squared minus 20x plus blank plus blank. Below 8x squared is F, below 20x is O, and below the blanks are I and L. One row down, the text in the first column says “Multiply the inner terms. 3 times 2x.” The second column contains 8x squared minus 20x plus 6x plus blank. One row down, the text in the first column says “Multiply the last terms. 3 times negative 5.” The second column contains the full expression, 8x squared minus 20x plus 6x minus 15, with each letter of FOIL beneath each of the terms. At the bottom of the image, the text in the first column says “Combine like terms.” In the right column is 8x squared minus 14x minus 15. In the third column is the product of the two binomials again, 4x plus 3 times 2x minus 5. An arrow extends from 4x in the first binomial to 2x in the second binomial. A second arrow extends from 4x in the first binomial to minus 5 in the second binomial. A third arrow extends from 3 in the first binomial to 2x in the second binomial. A fourth arrow extends from 3 in the first binomial to minus 5 in the second binomial.

The final products in the last four examples were trinomials because we could combine the two middle terms. This is not always the case.

Example

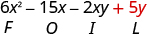
Multiply: \(\left(3x-y\right)\left(2x-5\right).\)

Solution

The product of two binomials, 3 x minus y and 2 x minus 5.
An arrow extends from 3 x in the first binomial to 2 x in the second binomial. A second arrow extends from 3 x in the first binomial to minus 5 in the second binomial. A third arrow extends from y in the first binomial to 2 x in the second binomial. A fourth arrow extends from y in the first binomial to minus 5 in the second binomial.
Multiply the First. 6 x squared plus blank plus blank plus blank. Beneath 6 x squared is the letter F.
Multiply the Outer. 6 x squared minus 15 x plus blank plus blank. Beneath 15 x is the letter O.
Multiply the Inner. 6x squared minus 15x minus 2xy plus blank. Beneath minus 2 x y is the letter I.
Multiply the Last. 6 x squared minus 15 x minus 2 x y plus 5 y. Beneath 5 y is the letter L.
Combine like terms—there are none. 6 x squared minus 15 x minus 2 x y plus 5 y.

Be careful of the exponents in the next example.

Example

Multiply: \(\left({n}^{2}+4\right)\left(n-1\right).\)

Solution

The product of two binomials, n squared plus 4 and n minus 1.
The product of two binomials, n squared plus 4 and n minus 1. An arrow extends from n squared in the first binomial to n in the second binomial. A second arrow extends from n squared in the first binomial to minus 1 in the second binomial. A third arrow extends from 4 in the first binomial to n in the second binomial. A fourth arrow extends from 4 in the first binomial to minus 1 in the second binomial.
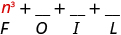
Multiply the First. n cubed plus blank plus blank plus blank. Beneath n cubed is the letter F.
Multiply the Outer. n cubed minus n squared plus blank plus blank. Beneath minus n squared is the letter O.
Multiply the Inner. n cubed minus n squared plus 4 n plus blank. Beneath 4 n is the letter I.
Multiply the Last. n cubed minus n squared plus 4 n minus 4. Beneath minus 4 is the letter L.
Combine like terms—there are none. n cubed minus n squared plus 4 n minus 4.

Example

Multiply: \(\left(3pq+5\right)\left(6pq-11\right).\)

Solution

The product of two binomials, 3 p q plus 5 and 6 p q minus 11.
Multiply the First. 18 p squared q squared plus blank plus blank plus blank. Beneath 18 p squared q squared is the letter F. The product of two binomials, 3 p q plus 5 and 6 p q minus 11. An arrow extends from 3 p q in the first binomial to 6 p q in the second binomial. A second arrow extends from 3 p q in the first binomial to minus 11 in the second binomial. A third arrow extends from 5 in the first binomial to 6 p q in the second binomial. A fourth arrow extends from 5 in the first binomial to minus 11 in the second binomial.
Multiply the Outer. 18 p squared q squared minus 33 p q plus blank plus blank. Beneath minus 33 p q is the letter O.
Multiply the Inner. 18 p squared q squared minus 33 p q plus 30 p q plus blank. Beneath 30 p q is the letter I.
Multiply the Last. 18 p squared q squared minus 33 p q plus 30 p q minus 55. Beneath minus 55 is the letter L.
Combine like terms—there are none. 18 p squared q squared minus 33 p q plus 30 p q minus 55.

Multiply a Binomial by a Binomial Using the Vertical Method

The FOIL method is usually the quickest method for multiplying two binomials, but it only works for binomials. You can use the Distributive Property to find the product of any two polynomials. Another method that works for all polynomials is the Vertical Method. It is very much like the method you use to multiply whole numbers. Look carefully at this example of multiplying two-digit numbers.

This figure shows the vertical multiplication of 23 and 46. The number 23 is above the number 46. Below this, there is the partial product 138 over the partial product 92. The final product is at the bottom and is 1058. Text on the right side of the image says “Start by multiplying 23 by 6 to get 138. Next, multiply 23 by 4, lining up the partial product in the correct columns. Last you add the partial products.”

Now we’ll apply this same method to multiply two binomials.

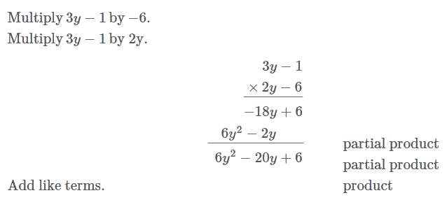
Example

Multiply using the Vertical Method: \(\left(3y-1\right)\left(2y-6\right).\)

Solution

It does not matter which binomial goes on the top.

Notice the partial products are the same as the terms in the FOIL method.

This figure has two columns. In the left column is the product of two binomials, 3y minus 1 and 2y minus 6. Below this is 6y squared minus 2y minus 18y plus 6. Below this is 6y squared minus 20y plus 6. In the right column is the vertical multiplication of 3y minus 1 and 2y minus 6. Below this is the partial product negative 18y plus 6. Below this is the partial product 6y squared minus 2y. Below this is 6y squared minus 20y plus 6.

We have now used three methods for multiplying binomials. Be sure to practice each method, and try to decide which one you prefer. The methods are listed here all together, to help you remember them.

Multiplying Two Binomials

To multiply binomials, use the:

  • Distributive Property
  • FOIL Method
  • Vertical Method

Remember, FOIL only works when multiplying two binomials.

This lesson is part of:

Polynomials II

View Full Tutorial

Track Your Learning Progress

Sign in to unlock unlimited practice exams, tutorial practice quizzes, personalized weak area practice, AI study assistance with Lexi, and detailed performance analytics.