Graphing Quadratic Equations in Two Variables

Graphing Quadratic Equations in Two Variables

Now, we have all the pieces we need in order to graph a quadratic equation in two variables. We just need to put them together. In the next example, we will see how to do this.

Example: How To Graph a Quadratic Equation in Two Variables

Graph \(y={x}^{2}-6x+8\).

Solution

The image shows the steps to graph the quadratic equation y equals x squared minus 6 x plus 8. Step 1 is to write the quadratic equation with y on one side. This equation has y on one side already. The value of a is one, the value of b is -6 and the value of c is 8.Step 2 is to determine whether the parabola opens upward or downward. Since a is positive, the parabola opens upward.Step 3 is to find the axis of symmetry. The axis of symmetry is the line x equals negative b divided by the quantity 2 a. Plugging in the values of b and a the formula becomes x equals negative -6 divided by the quantity 2 times 1 which simplifies to x equals 3. The axis of symmetry is the line x equals 3.Step 4 is to find the vertex. The vertex is on the axis of symmetry. Substitute x equals 3 into the equation and solve for y. The equation is y equals x squared minus 6 x plus 8. Replacing x with 3 it becomes y equals 3 squared minus 6 times 3 plus 8 which simplifies to y equals -1. The vertex is (3, -1).Step 5 is to find the y-intercept and find the point symmetric to the y-intercept across the axis of symmetry. We substitute x equals 0 into the equation. The equation is y equals x squared minus 6 x plus 8. Replacing x with 0 it becomes y equals 0 squared minus 6 times 0 plus 8 which simplifies to y equals 8. The y-intercept is (0, 8). We use the axis of symmetry to find a point symmetric to the y-intercept. The y-intercept is 3 units left of the axis of symmetry, x equals 3. A point 3 units to the right of the axis of symmetry has x equals 6. The point symmetric to the y-intercept is (6, 8).Step 6 is to find the x-intercepts. We substitute y equals 0 into the equation. The equation becomes 0 equals x squared minus 6 x plus 8. We can solve this quadratic equation by factoring to get 0 equals the quantity x minus 2 times the quantity x minus 4. Solve each equation to get x equals 2 and x equals 4. The x-intercepts are (2, 0) and (4, 0).Step 7 is to graph the parabola. We graph the vertex, intercepts, and the point symmetric to the y-intercept. We connect these five points to sketch the parabola. The graph shows an upward-opening parabola graphed on the x y-coordinate plane. The x-axis of the plane runs from -2 to 10. The y-axis of the plane runs from -3 to 10. The vertex is at the point (3, -1). Four points are plotted on the curve at (0, 8), (6, 8), (2, 0) and (4, 0). Also on the graph is a dashed vertical line representing the axis of symmetry. The line goes through the vertex at x equals 3.

Graph a quadratic equation in two variables.

  1. Write the quadratic equation with \(y\) on one side.
  2. Determine whether the parabola opens upward or downward.
  3. Find the axis of symmetry.
  4. Find the vertex.
  5. Find the y-intercept. Find the point symmetric to the y-intercept across the axis of symmetry.
  6. Find the x-intercepts.
  7. Graph the parabola.

We were able to find the x-intercepts in the last example by factoring. We find the x-intercepts in the next example by factoring, too.

Example

Graph \(y=\text{−}{x}^{2}+6x-9\).

Solution

The equation y has on one side. .
Since a is \(-1\), the parabola opens downward.
To find the axis of symmetry, find \(x=-\frac{b}{2a}\).
. .
.
.
The axis of symmetry is \(x=3.\) The vertex is on the line \(x=3.\)
.
Find y when \(x=3.\) .
.
.
.
The vertex is \(\left(3,0\right).\)
.
The y-intercept occurs when \(x=0.\)
Substitute \(x=0.\)
Simplify.
The point \(\left(0,-9\right)\) is three units to the left of the line of symmetry.
The point three units to the right of the line of symmetry is \(\left(6,-9\right).\)
Point symmetric to the y-intercept is \(\left(6,-9\right)\)
.
.
.
The y-intercept is \(\left(0,-9\right).\)
.
The x-intercept occurs when \(y=0.\) .
Substitute \(y=0.\) .
Factor the GCF. .
Factor the trinomial. .
Solve for x. .
Connect the points to graph the parabola. .

For the graph of \(y=-{x}^{2}+6x-9\), the vertex and the x-intercept were the same point. Remember how the discriminant determines the number of solutions of a quadratic equation? The discriminant of the equation \(0=\text{−}{x}^{2}+6x-9\) is 0, so there is only one solution. That means there is only one x-intercept, and it is the vertex of the parabola.

How many x-intercepts would you expect to see on the graph of \(y={x}^{2}+4x+5\)?

Example

Graph \(y={x}^{2}+4x+5\).

Solution

The equation has y on one side. .
Since a is 1, the parabola opens upward. .
To find the axis of symmetry, find \(x=-\frac{b}{2a}.\) .
.
.
The axis of symmetry is \(x=-2.\)
.
The vertex is on the line \(x=-2.\)
Find y when \(x=-2.\) .
.
.
.
The vertex is \(\left(-2,1\right).\)
.
The y-intercept occurs when \(x=0.\)
Substitute \(x=0.\)
Simplify.
The point \(\left(0,5\right)\) is two units to the right of the line of symmetry.
The point two units to the left of the line of symmetry is \(\left(-4,5\right).\)
.
.
.
The y-intercept is \(\left(0,5\right).\)
.
Point symmetric to the y- intercept is \(\left(-4,5\right)\).
The x- intercept occurs when \(y=0.\)
Substitute \(y=0.\)
Test the discriminant.
.
.
\({b}^{2}-4ac\)
\({4}^{2}-4\cdot 15\)
\(16-20\)
\(\phantom{\rule{1em}{0ex}}-4\)
Since the value of the discriminant is negative, there is no solution and so no x- intercept.
Connect the points to graph the parabola. You may want to choose two more points for greater accuracy.
.

Finding the y-intercept by substituting \(x=0\) into the equation is easy, isn’t it? But we needed to use the Quadratic Formula to find the x-intercepts in the example above. We will use the Quadratic Formula again in the next example.

Example

Graph \(y=2{x}^{2}-4x-3\).

Solution

.
The equation y has one side.
Since a is 2, the parabola opens upward.
.
To find the axis of symmetry, find \(x=-\frac{b}{2a}\). .
.
.
The axis of symmetry is \(x=1\).
The vertex on the line \(x=1.\) .
Find y when \(x=1\). .
.
.
The vertex is \(\left(1,\text{−}5\right)\).
The y-intercept occurs when \(x=0.\) .
Substitute \(x=0.\) .
Simplify. .
The y-intercept is \(\left(0,-3\right)\).
The point \(\left(0,-3\right)\) is one unit to the left of the line of symmetry.
The point one unit to the right of the line of symmetry is \(\left(2,-3\right)\)
Point symmetric to the y-intercept is \(\left(2,-3\right).\)
The x-intercept occurs when \(y=0\). .
Substitute \(y=0\). .
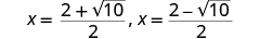
Use the Quadratic Formula. .
Substitute in the values of a, b, c. .
Simplify. .
Simplify inside the radical. .
Simplify the radical. .
Factor the GCF. .
Remove common factors. .
Write as two equations. .
Approximate the values. .
The approximate values of the x-intercepts are \(\left(2.5,0\right)\) and \(\left(-0.6,0\right)\).
Graph the parabola using the points found. .

This lesson is part of:

Introducing Quadratic Equations

View Full Tutorial

Track Your Learning Progress

Sign in to unlock unlimited practice exams, tutorial practice quizzes, personalized weak area practice, AI study assistance with Lexi, and detailed performance analytics.