Solving Applications of the Quadratic Formula

Solving Applications of the Quadratic Formula

We solved some applications that are modeled by quadratic equations earlier, when the only method we had to solve them was factoring. Now that we have more methods to solve quadratic equations, we will take another look at applications. To get us started, we will copy our usual Problem Solving Strategy here so we can follow the steps.

Use the problem solving strategy.

  1. Read the problem. Make sure all the words and ideas are understood.
  2. Identify what we are looking for.
  3. Name what we are looking for. Choose a variable to represent that quantity.
  4. Translate into an equation. It may be helpful to restate the problem in one sentence with all the important information. Then, translate the English sentence into an algebra equation.
  5. Solve the equation using good algebra techniques.
  6. Check the answer in the problem and make sure it makes sense.
  7. Answer the question with a complete sentence.

We have solved number applications that involved consecutive even integers and consecutive odd integers by modeling the situation with linear equations. Remember, we noticed each even integer is 2 more than the number preceding it. If we call the first one n, then the next one is \(n+2\). The next one would be \(n+2+2\) or \(n+4\). This is also true when we use odd integers. One set of even integers and one set of odd integers are shown below.

\(\begin{array}{cccc}\hfill \mathbf{\text{Consecutive even integers}}\hfill & & & \hfill \phantom{\rule{4em}{0ex}}\mathbf{\text{Consecutive odd integers}}\hfill \\ \hfill 64,66,68\hfill & & & \hfill \phantom{\rule{4em}{0ex}}77,79,81\hfill \\ \hfill \begin{array}{cccc}n\hfill & & & {1}^{\text{st}}\phantom{\rule{0.2em}{0ex}}\text{even integer}\hfill \\ n+2\hfill & & & {2}^{\text{nd}}\phantom{\rule{0.2em}{0ex}}\text{consecutive even integer}\hfill \\ n+4\hfill & & & {3}^{\text{rd}}\phantom{\rule{0.2em}{0ex}}\text{consecutive even integer}\hfill \end{array}\hfill & & & \hfill \phantom{\rule{4em}{0ex}}\begin{array}{cccc}n\hfill & & & {1}^{\text{st}}\phantom{\rule{0.2em}{0ex}}\text{odd integer}\hfill \\ n+2\hfill & & & {2}^{\text{nd}}\phantom{\rule{0.2em}{0ex}}\text{consecutive odd integer}\hfill \\ n+4\hfill & & & {3}^{\text{rd}}\phantom{\rule{0.2em}{0ex}}\text{consecutive odd integer}\hfill \end{array}\hfill \end{array}\)

Some applications of consecutive odd integers or consecutive even integers are modeled by quadratic equations. The notation above will be helpful as you name the variables.

Example

The product of two consecutive odd integers is 195. Find the integers.

Solution

Step 1. Read the problem.
Step 2. Identify what we are looking for. We are looking for two consecutive odd integers.
Step 3. Name what we are looking for. Let \(n=\) the first odd integer.
\(n+2=\) the next odd integer
Step 4. Translate into an equation. State the problem in one sentence. "The product of two consecutive odd integers is 195." The product of the first odd integer and the second odd integer is 195.
Translate into an equation .
Step 5. Solve the equation. Distribute. .
Subtract 195 to get the equation in standard form. .
Identify the a, b, c values. .
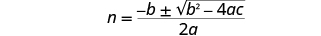
Write the quadratic equation. .
Then substitute in the values of a, b, c.. .
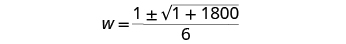
Simplify. .
.
Simplify the radical. .
Rewrite to show two solutions. .
Solve each equation. .
.
There are two values of n that are solutions. This will give us two pairs of consecutive odd integers for our solution. First odd integer \(n=13\)
next odd integer \(n+2\)
\(\phantom{\rule{6.8em}{0ex}}13+2\)
\(\phantom{\rule{8em}{0ex}}15\)
First odd integer \(n=-15\)
next odd integer \(n+2\)
\(\phantom{\rule{6.1em}{0ex}}-15+2\)
\(\phantom{\rule{7em}{0ex}}-13\)
Step 6. Check the answer.
Do these pairs work?
Are they consecutive odd integers?
Is their product 195?
\(\begin{array}{cccc}\hfill 13,15,\phantom{\rule{0.2em}{0ex}}\text{yes}& & & -13,-15,\phantom{\rule{0.2em}{0ex}}\text{yes}\hfill \\ \hfill 13\cdot 15=195,\phantom{\rule{0.2em}{0ex}}\text{yes}& & & -13\left(-15\right)=195,\phantom{\rule{0.2em}{0ex}}\text{yes}\hfill \end{array}\)
Step 7. Answer the question. The two consecutive odd integers whose product is 195 are 13, 15, and −13, −15.

We will use the formula for the area of a triangle to solve the next example.

Area of a Triangle

For a triangle with base \(b\) and height \(h\), the area, \(A\), is given by the formula \(A=\frac{1}{2}bh\).

The image shows a triangle with a horizontal side at the bottom labeled b and a vertical line coming up from the side b to the vertex of the other two sides of the triangle. This vertical line is labeled h.

Recall that, when we solve geometry applications, it is helpful to draw the figure.

Example

An architect is designing the entryway of a restaurant. She wants to put a triangular window above the doorway. Due to energy restrictions, the window can have an area of 120 square feet and the architect wants the width to be 4 feet more than twice the height. Find the height and width of the window.

Solution

Step 1. Read the problem.
Draw a picture.
.
Step 2. Identify what we are looking for. We are looking for the height and width.
Step 3. Name what we are looking for. Let \(h=\) the height of the triangle.
\(2h+4=\) the width of the triangle
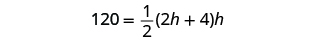
Step 4. Translate. We know the area. Write the formula for the area of a triangle.
.
Step 5. Solve the equation. Substitute in the values. .
Distribute. .
This is a quadratic equation, rewrite it in standard form. .
Solve the equation using the Quadratic Formula. Identify the a, b, c values. .
Write the quadratic equation. .
Then substitute in the values of a, b, c.. .
Simplify. .
.
Simplify the radical. .
Rewrite to show two solutions. .
Simplify. .
Since h is the height of a window, a value of \(h=\text{−}12\) does not make sense. .
The height of the triangle: \(\phantom{\rule{1em}{0ex}}h=10\)
The width of the triangle: \(\phantom{\rule{1.5em}{0ex}}2h+4\)
\(\phantom{\rule{11.8em}{0ex}}2\cdot 10+4\)
\(\phantom{\rule{13.2em}{0ex}}24\)
Step 6. Check the answer. Does a triangle with a height 10 and width 24 have area 120? Yes.
Step 7. Answer the question. The height of the triangular window is 10 feet and the width is 24 feet.

Notice that the solutions were integers. That tells us that we could have solved the equation by factoring.

When we wrote the equation in standard form, \({h}^{2}+2h-120=0\), we could have factored it. If we did, we would have solved the equation \(\left(h+12\right)\left(h-10\right)=0\).

In the two preceding examples, the number in the radical in the Quadratic Formula was a perfect square and so the solutions were rational numbers. If we get an irrational number as a solution to an application problem, we will use a calculator to get an approximate value.

The Pythagorean Theorem gives the relation between the legs and hypotenuse of a right triangle. We will use the Pythagorean Theorem to solve the next example.

Pythagorean Theorem

In any right triangle, where \(a\) and \(b\) are the lengths of the legs and \(c\) is the length of the hypotenuse, \({a}^{2}+{b}^{2}={c}^{2}\)

The image shows a right triangle with a horizontal side at the bottom labeled b, a vertical side on the left labeled a and the hypotenuse connecting the two is labeled c.

Example

Rene is setting up a holiday light display. He wants to make a ‘tree’ in the shape of two right triangles, as shown below, and has two 10-foot strings of lights to use for the sides. He will attach the lights to the top of a pole and to two stakes on the ground. He wants the height of the pole to be the same as the distance from the base of the pole to each stake. How tall should the pole be?

Solution

Step 1. Read the problem. Draw a picture. .
Step 2. Identify what we are looking for. We are looking for the height of the pole.
Step 3. Name what we are looking for. The distance from the base of the pole to either stake is the same as the height of the pole. Let \(x=\) the height of the pole.
\(x=\) the distance from the pole to stake
Each side is a right triangle. We draw a picture of one of them. .
Step 4. Translate into an equation. We can use the Pythagorean Theorem to solve for x.
Write the Pythagorean Theorem. \({a}^{2}+{b}^{2}={c}^{2}\)
Step 5. Solve the equation. Substitute. \(\phantom{\rule{0em}{0ex}}{x}^{2}+{x}^{2}={10}^{2}\)
Simplify. \(\phantom{\rule{1.6em}{0ex}}2{x}^{2}=100\)
Divide by 2 to isolate the variable. \(\phantom{\rule{1.5em}{0ex}}\frac{2{x}^{2}}{2}=\frac{100}{2}\)
Simplify. \(\phantom{\rule{2.1em}{0ex}}{x}^{2}=50\)
Use the Square Root Property. \(\phantom{\rule{2.6em}{0ex}}x=±\phantom{\rule{0.2em}{0ex}}\sqrt{50}\)
Simplify the radical. \(\phantom{\rule{2.6em}{0ex}}x=±\phantom{\rule{0.2em}{0ex}}5\sqrt{2}\)
Rewrite to show two solutions. \(\phantom{\rule{2.6em}{0ex}}x=5\sqrt{2}\)
\(\phantom{\rule{2.6em}{0ex}}\require{cancel}\cancel{x=\text{−}5\sqrt{2}}\)
Approximate this number to the nearest tenth with a calculator. \(\phantom{\rule{2.6em}{0ex}}x\approx 7.1\)
Step 6. Check the answer.
Check on your own in the Pythagorean Theorem.
Step 7. Answer the question. The pole should be about 7.1 feet tall.

Example

Mike wants to put 150 square feet of artificial turf in his front yard. This is the maximum area of artificial turf allowed by his homeowners association. He wants to have a rectangular area of turf with length one foot less than three times the width. Find the length and width. Round to the nearest tenth of a foot.

Solution

Step 1. Read the problem. Draw a picture. .
Step 2. Identify what we are looking for. We are looking for the length and width.
Step 3. Name what we are looking for. Let \(w=\) the width of the rectangle.
\(3w-1=\) the length of the rectangle
Step 4. Translate into an equation.
We know the area. Write the formula for the area of a rectangle.
.
Step 5. Solve the equation. Substitute in the values. .
Distribute. .
This is a quadratic equation, rewrite it in standard form. .
Solve the equation using the Quadratic Formula.
Identify the a, b, c values. .
Write the Quadratic Formula. .
Then substitute in the values of a, b, c. .
Simplify. .
.
Rewrite to show two solutions. .
Approximate the answers using a calculator.
We eliminate the negative solution for the width.
.
Step 6. Check the answer.
Make sure that the answers make sense.
Step 7. Answer the question. The width of the rectangle is approximately 7.2 feet and the length 20.6 feet.

The height of a projectile shot upwards is modeled by a quadratic equation. The initial velocity, \({v}_{0}\), propels the object up until gravity causes the object to fall back down.

Projectile Motion

The height in feet, \(h\), of an object shot upwards into the air with initial velocity, \({v}_{0}\), after \(t\) seconds is given by the formula:

\(h=-16{t}^{2}+{v}_{0}t\)

We can use the formula for projectile motion to find how many seconds it will take for a firework to reach a specific height.

Example

A firework is shot upwards with initial velocity 130 feet per second. How many seconds will it take to reach a height of 260 feet? Round to the nearest tenth of a second.

Solution

Step 1. Read the problem.
Step 2. Identify what we are looking for. We are looking for the number of seconds, which is time.
Step 3. Name what we are looking for. Let \(t=\) the number of seconds.
Step 4. Translate into an equation. Use the formula.
\(h=-16{t}^{2}+{v}_{0}t\phantom{\rule{1.2em}{0ex}}\)
Step 5. Solve the equation.
We know the velocity \({v}_{0}\) is 130 feet per second.
The height is 260 feet. Substitute the values. .
This is a quadratic equation, rewrite it in standard form. .
Solve the equation using the Quadratic Formula.
Identify the a, b, c values. .
Write the Quadratic Formula. .
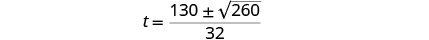
Then substitute in the values of a, b, c. .
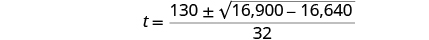
Simplify. .
.
Rewrite to show two solutions. .
Approximate the answers with a calculator. \(\phantom{\rule{3em}{0ex}}t\approx 4.6\) seconds, \(t\approx 3.6\)
Step 6. Check the answer.
The check is left to you.
Step 7. Answer the question. The firework will go up and then fall back down.
As the firework goes up, it will reach 260 feet after approximately 3.6 seconds. It will also pass that height on the way down at 4.6 seconds.
.

Resources:

You can access these resources for additional instruction and practice with solving word problems using the quadratic equation:

This lesson is part of:

Introducing Quadratic Equations

View Full Tutorial

Track Your Learning Progress

Sign in to unlock unlimited practice exams, tutorial practice quizzes, personalized weak area practice, AI study assistance with Lexi, and detailed performance analytics.