Solving Quadratic Equations of the form <em>ax</em><sup>2</sup> + <em>bx</em> + <em>c</em> = 0

Solving Quadratic Equations of the form ax2 + bx + c = 0 by completing the square

The process of completing the square works best when the leading coefficient is one, so the left side of the equation is of the form \({x}^{2}+bx+c\). If the \({x}^{2}\) term has a coefficient, we take some preliminary steps to make the coefficient equal to one.

Sometimes the coefficient can be factored from all three terms of the trinomial. This will be our strategy in the next example.

Example

Solve \(3{x}^{2}-12x-15=0\) by completing the square.

Solution

To complete the square, we need the coefficient of \({x}^{2}\) to be one. If we factor out the coefficient of \({x}^{2}\) as a common factor, we can continue with solving the equation by completing the square.

.
Factor out the greatest common factor. .
Divide both sides by 3 to isolate the trinomial. .
Simplify. .
Subtract 5 to get the constant terms on the right. .
Take half of 4 and square it. \((\frac{1}{2}(4){)}^{2}=4\) .
Add 4 to both sides. .
Factor the perfect square trinomial as a binomial square. .
Use the Square Root Property. .
Solve for x. .
Rewrite to show 2 solutions. .
Simplify. .
Check.
.

To complete the square, the leading coefficient must be one. When the leading coefficient is not a factor of all the terms, we will divide both sides of the equation by the leading coefficient. This will give us a fraction for the second coefficient. We have already seen how to complete the square with fractions in this section.

Example

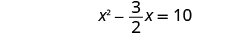
Solve \(2{x}^{2}-3x=20\) by completing the square.

Solution

Again, our first step will be to make the coefficient of \({x}^{2}\) be one. By dividing both sides of the equation by the coefficient of \({x}^{2}\), we can then continue with solving the equation by completing the square.

.
Divide both sides by 2 to get the coefficient of \({x}^{2}\) to be 1. .
Simplify. .
Take half of \(-\frac{3}{2}\) and square it. \((\frac{1}{2}(-\frac{3}{2}){)}^{2}=\frac{9}{16}\) .
Add \(\frac{9}{16}\) to both sides. .
Factor the perfect square trinomial as a binomial square. .
Add the fractions on the right side. .
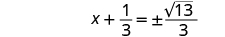
Use the Square Root Property. .
Simplify the radical. .
Solve for x. .
Rewrite to show 2 solutions. .
Simplify. .
Check. We leave the check for you.

Example

Solve \(3{x}^{2}+2x=4\) by completing the square.

Solution

Again, our first step will be to make the coefficient of \({x}^{2}\) be one. By dividing both sides of the equation by the coefficient of \({x}^{2}\), we can then continue with solving the equation by completing the square.

.
Divide both sides by 3 to make the coefficient of \({x}^{2}\) equal 1. .
Simplify. .
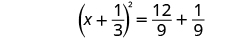
Take half of \(\frac{2}{3}\) and square it. \((\frac{1}{2}\cdot \frac{2}{3}{)}^{2}=\frac{1}{9}\) .
Add \(\frac{1}{9}\) to both sides. .
Factor the perfect square trinomial as a binomial square. .
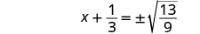
Use the Square Root Property. .
Simplify the radical. .
Solve for x. .
Rewrite to show 2 solutions. .
Check. We leave the check for you.

Resource:

You can access this resource for additional instruction and practice with solving quadratic equations by completing the square:

Introduction to the method of completing the square

Optional Video

This lesson is part of:

Introducing Quadratic Equations

View Full Tutorial

Track Your Learning Progress

Sign in to unlock unlimited practice exams, tutorial practice quizzes, personalized weak area practice, AI study assistance with Lexi, and detailed performance analytics.