Solving Quadratic Equations of the Form <em>x</em><sup>2</sup> + <em>bx</em> + <em>c</em> = 0

Solve Quadratic Equations of the Form x2 + bx + c = 0 by Completing the Square

In solving equations, we must always do the same thing to both sides of the equation. This is true, of course, when we solve a quadratic equation by completing the square, too. When we add a term to one side of the equation to make a perfect square trinomial, we must also add the same term to the other side of the equation.

For example, if we start with the equation \({x}^{2}+6x=40\) and we want to complete the square on the left, we will add nine to both sides of the equation.

The image shows the equation x squared plus six x equals 40. Below that the equation is rewritten as x squared plus six x plus blank space equals 40 plus blank space. Below that the equation is rewritten again as x squared plus six x plus nine equals 40 plus nine.

Then, we factor on the left and simplify on the right.

\({(x+3)}^{2}=49\)

Now the equation is in the form to solve using the Square Root Property. Completing the square is a way to transform an equation into the form we need to be able to use the Square Root Property.

Example: How To Solve a Quadratic Equation of the Form \({x}^{2}+bx+c=0\) by Completing the Square

Solve \({x}^{2}+8x=48\) by completing the square.

Solution

The image shows the steps to solve the equation x squared plus eight x equals 48. Step one is to isolate the variable terms on one side and the constant terms on the other. The equation already has all the variables on the left.Step two is to find the quantity half of b squared, the number to complete the square and add it to both sides of the equation. The coefficient of x is eight so b is eight. Take half of eight, which is four and square it to get 16. Add 16 to both sides of the equation to get x squared plus eight x plus 16 equals 48 plus 16.Step three is to factor the perfect square trinomial as a binomial square. The left side is the perfect square trinomial x squared plus eight x plus 16 which factors to the quantity x plus four squared. Adding on the right side 48 plus 16 is 64. The equation is now the quantity x plus four squared equals 64.Step four is to use the square root property to make the equation x plus four equals plus or minus the square root of 64.Step five is to simplify the radical and then solve the two resulting equations. The square root of 64 is eight. The equation can be written as two equations: x plus four equals eight and x plus four equals negative eight. Solving each equation gives x equals four or negative 12.Step six is to check the solutions. To check the solutions put each answer in the original equation. Substituting x equals four in the original equation to get four squared plus eight times four equals 48. The left side simplifies to 16 plus 32 which is 48. Substituting x equals negative 12 in the original equation to get negative 12 squared plus eight times negative 12 equals 48. The left side simplifies to 144 minus 96 which is 48.

Solve a quadratic equation of the form \({x}^{2}+bx+c=0\) by completing the square.

  1. Isolate the variable terms on one side and the constant terms on the other.
  2. Find \({(\frac{1}{2}·b)}^{2}\), the number to complete the square. Add it to both sides of the equation.
  3. Factor the perfect square trinomial as a binomial square.
  4. Use the Square Root Property.
  5. Simplify the radical and then solve the two resulting equations.
  6. Check the solutions.

Example

Solve \({y}^{2}-6y=16\) by completing the square.

Solution

The variable terms are on the left side. .
Take half of \(-6\) and square it. \((\frac{1}{2}(\text{−}6){)}^{2}=9\) .
Add 9 to both sides. .
Factor the perfect square trinomial as a binomial square. .
Use the Square Root Property. .
Simplify the radical. .
Solve for y. .
Rewrite to show two solutions. .
Solve the equations. .
Check.
.

Example

Solve \({x}^{2}+4x=-21\) by completing the square.

Solution

The variable terms are on the left side. .
Take half of \(4\) and square it. \((\frac{1}{2}(4){)}^{2}=4\) .
Add 4 to both sides. .
Factor the perfect square trinomial as a binomial square. .
Use the Square Root Property. .
We cannot take the square root of a negative number. There is no real solution.

In the previous example, there was no real solution because \({(x+k)}^{2}\) was equal to a negative number.

Example

Solve \({p}^{2}-18p=-6\) by completing the square.

Solution

The variable terms are on the left side. .
Take half of \(\text{−}18\) and square it. \((\frac{1}{2}(\text{−}18){)}^{2}=81\) .
Add 81 to both sides. .
Factor the perfect square trinomial as a binomial square. .
Use the Square Root Property. .
Simplify the radical. .
Solve for p. .
Rewrite to show two solutions. .
Check.
.

Another way to check this would be to use a calculator. Evaluate \({p}^{2}-18p\) for both of the solutions. The answer should be \(-6\).

We will start the next example by isolating the variable terms on the left side of the equation.

Example

Solve \({x}^{2}+10x+4=15\) by completing the square.

Solution

The variable terms are on the left side. .
Subtract \(4\) to get the constant terms on the right side. .
Take half of 10 and square it. \((\frac{1}{2}(10){)}^{2}=25\) .
Add 25 to both sides. .
Factor the perfect square trinomial as a binomial square. .
Use the Square Root Property. .
Simplify the radical. .
Solve for x. .
Rewrite to show two equations. .
Solve the equations. .
Check.
.

To solve the next equation, we must first collect all the variable terms to the left side of the equation. Then, we proceed as we did in the previous examples.

Example

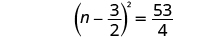
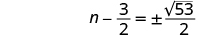
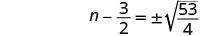
Solve \({n}^{2}=3n+11\) by completing the square.

Solution

.
Subtract 3n to get the variable terms on the left side. .
Take half of \(\text{−}3\) and square it. \((\frac{1}{2}(\text{−}3){)}^{2}=\frac{9}{4}\) .
Add \(\frac{9}{4}\) to both sides. .
Factor the perfect square trinomial as a binomial square. .
Add the fractions on the right side. .
Use the Square Root Property. .
Simplify the radical. .
Solve for n. .
Rewrite to show two equations. .
Check. We leave the check for you!

Notice that the left side of the next equation is in factored form. But the right side is not zero, so we cannot use the Zero Product Property. Instead, we multiply the factors and then put the equation into the standard form to solve by completing the square.

Example

Solve \((x-3)(x+5)=9\) by completing the square.

Solution

.
We multiply binomials on the left. .
Add 15 to get the variable terms on the left side. .
Take half of 2 and square it. \((\frac{1}{2}(2){)}^{2}=1\) .
Add 1 to both sides. .
Factor the perfect square trinomial as a binomial square. .
Use the Square Root Property. .
Solve for x. .
Rewite to show two solutions. .
Simplify. .
Check. We leave the check for you!

This lesson is part of:

Introducing Quadratic Equations

View Full Tutorial

Track Your Learning Progress

Sign in to unlock unlimited practice exams, tutorial practice quizzes, personalized weak area practice, AI study assistance with Lexi, and detailed performance analytics.