Solving Quadratic Equations Using the Quadratic Formula

Solving Quadratic Equations Using the Quadratic Formula

When we solved quadratic equations in the last section by completing the square, we took the same steps every time. By the end of the exercise set, you may have been wondering ‘isn’t there an easier way to do this?’ The answer is ‘yes.’ In this section, we will derive and use a formula to find the solution of a quadratic equation.

We have already seen how to solve a formula for a specific variable ‘in general’ so that we would do the algebraic steps only once and then use the new formula to find the value of the specific variable. Now, we will go through the steps of completing the square in general to solve a quadratic equation for x. It may be helpful to look at one of the examples at the end of the last section where we solved an equation of the form \(a{x}^{2}+bx+c=0\) as you read through the algebraic steps below, so you see them with numbers as well as ‘in general.’

\(\begin{array}{cccccc}\text{We start with the standard form of a quadratic equation}\hfill & & & \hfill a{x}^{2}+bx+c& =\hfill & 0\phantom{\rule{2em}{0ex}}a\ne 0\hfill \\ \text{and solve it for}\phantom{\rule{0.2em}{0ex}}x\phantom{\rule{0.2em}{0ex}}\text{by completing the square.}\hfill & & & & & \\ \text{Isolate the variable terms on one side.}\hfill & & & \hfill a{x}^{2}+bx& =\hfill & \text{−}c\hfill \\ \\ \text{Make leading coefficient 1, by dividing by a.}\hfill & & & \hfill \frac{a{x}^{2}}{a}+\frac{b}{a}x& =\hfill & -\frac{c}{a}\hfill \\ \\ \text{Simplify.}\hfill & & & \hfill {x}^{2}+\frac{b}{a}x& =\hfill & -\frac{c}{a}\hfill \\ \text{To complete the square, find}\phantom{\rule{0.2em}{0ex}}{\left(\frac{1}{2}·\frac{b}{a}\right)}^{2}\phantom{\rule{0.2em}{0ex}}\text{and add it to both}\hfill & & & \\ \text{sides of the equation.}\phantom{\rule{0.2em}{0ex}}{\left(\frac{1}{2}\phantom{\rule{0.2em}{0ex}}\frac{b}{a}\right)}^{2}=\frac{{b}^{2}}{4{a}^{2}}\hfill & & & \hfill {x}^{2}+\frac{b}{a}x+\frac{{b}^{2}}{4{a}^{2}}& =\hfill & -\frac{c}{a}+\frac{{b}^{2}}{4{a}^{2}}\hfill \\ \\ \text{The left side is a perfect square, factor it.}\hfill & & & \hfill {\left(x+\frac{b}{2a}\right)}^{2}& =\hfill & -\frac{c}{a}+\frac{{b}^{2}}{4{a}^{2}}\hfill \\ \\ \begin{array}{c}\text{Find the common denominator of the right side and write}\hfill \\ \text{equivalent fractions with the common denominator.}\hfill \end{array}\hfill & & & \hfill {\left(x+\frac{b}{2a}\right)}^{2}& =\hfill & \frac{{b}^{2}}{4{a}^{2}}-\frac{c·4a}{a·4a}\hfill \\ \\ \text{Simplify.}\hfill & & & \hfill {\left(x+\frac{b}{2a}\right)}^{2}& =\hfill & \frac{{b}^{2}}{4{a}^{2}}-\frac{4ac}{4{a}^{2}}\hfill \\ \\ \text{Combine to one fraction.}\hfill & & & \hfill {\left(x+\frac{b}{2a}\right)}^{2}& =\hfill & \frac{{b}^{2}-4ac}{4{a}^{2}}\hfill \\ \\ \text{Use the square root property.}\hfill & & & \hfill x+\frac{b}{2a}& =\hfill & ±\phantom{\rule{0.2em}{0ex}}\sqrt{\frac{{b}^{2}-4ac}{4{a}^{2}}}\hfill \\ \\ \text{Simplify.}\hfill & & & \hfill x+\frac{b}{2a}& =\hfill & ±\phantom{\rule{0.2em}{0ex}}\frac{\sqrt{{b}^{2}-4ac}}{2a}\hfill \\ \\ \text{Add}\phantom{\rule{0.2em}{0ex}}-\frac{b}{2a}\phantom{\rule{0.2em}{0ex}}\text{to both sides of the equation.}\hfill & & & \hfill x& =\hfill & -\frac{b}{2a}±\frac{\sqrt{{b}^{2}-4ac}}{2a}\hfill \\ \\ \text{Combine the terms on the right side.}\hfill & & & \hfill x& =\hfill & \frac{\text{−}b±\sqrt{{b}^{2}-4ac}}{2a}\hfill \end{array}\)

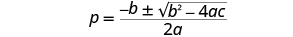
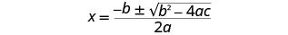
This last equation is the Quadratic Formula.

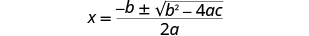
Quadratic Formula

The solutions to a quadratic equation of the form \(a{x}^{2}+bx+c=0\), \(a\ne 0\) are given by the formula:

\(x=\frac{\text{−}b±\sqrt{{b}^{2}-4ac}}{2a}\)

To use the Quadratic Formula, we substitute the values of \(a,b,\phantom{\rule{0.2em}{0ex}}\text{and}\phantom{\rule{0.2em}{0ex}}c\) into the expression on the right side of the formula. Then, we do all the math to simplify the expression. The result gives the solution(s) to the quadratic equation.

Example: How to Solve a Quadratic Equation Using the Quadratic Formula

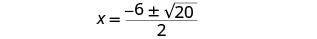
Solve \(2{x}^{2}+9x-5=0\) by using the Quadratic Formula.

Solution

The image shows the steps to solve the quadratic equation two x squared plus nine x minus five equals zero. Step one is to write the quadratic equation in standard form and identify the a, b, and c values. This equation is already in standard for. The value of a is two, the value of b is nine and the value of c is negative five.Step two is to write the quadratic formula. Then substitute in the values of a, b, and c. Substitute two for a, nine for b and negative five for c in the formula x equals the quantity negative b plus or minus the square root of b squared minus four times a times c divided by two times a. The formula becomes x equals negative nine plus or minus the square root of negative nine squared minus four time two times negative five all divided by two times two.Step three is to simplify the formula. Squaring negative nine and performing the multiplication to get negative nine plus or minus the square root of 81 minus negative 40 all divided by four. This simplifies further to negative nine plus or minus the square root of 121 all divided by four which reduces to negative nine plus or minus 11 all divided by four. Negative nine plus 11 divided by four is two fourths which reduces to one half. Negative nine minus 11 divided by four is negative 20 fourths which reduces to negative five.Step four is to check the solutions by putting each answer in the original equation to check. Replace x in two x squared plus nine x minus five equals zero with one half to get two times one half squared plus nine times one half minus five. Simplify to get one half plus nine halves minus five which is zero. Replace x in two x squared plus nine x minus five equals zero with negative five to get two times negative five squared plus nine times negative five minus five. Simplify to get 50 minus 45 minus five which is zero.

Solve a quadratic equation using the Quadratic Formula.

  1. Write the Quadratic Formula in standard form. Identify the \(a\), \(b\), and \(c\) values.
  2. Write the Quadratic Formula. Then substitute in the values of \(a\), \(b\), and \(c.\)
  3. Simplify.
  4. Check the solutions.

If you say the formula as you write it in each problem, you’ll have it memorized in no time. And remember, the Quadratic Formula is an equation. Be sure you start with ‘\(x=\)’.

Example

Solve \({x}^{2}-6x+5=0\) by using the Quadratic Formula.

Solution

.
This equation is in standard form. .
Identify the a, b, c values. .
Write the Quadratic Formula. .
Then substitute in the values of a, b, c. .
Simplify. .
.
.
Rewrite to show two solutions. .
Simplify. .
.
Check.
.

When we solved quadratic equations by using the Square Root Property, we sometimes got answers that had radicals. That can happen, too, when using the Quadratic Formula. If we get a radical as a solution, the final answer must have the radical in its simplified form.

Example

Solve \(4{y}^{2}-5y-3=0\) by using the Quadratic Formula.

Solution

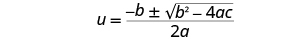
We can use the Quadratic Formula to solve for the variable in a quadratic equation, whether or not it is named ‘x’.

.
This equation is in standard form. .
Identify the a, b, c values. .
Write the Quadratic Formula. .
Then substitute in the values of a, b, c. .
Simplify. .
.
Rewrite to show two solutions. .
Check. We leave the check to you.

Example

Solve \(2{x}^{2}+10x+11=0\) by using the Quadratic Formula.

Solution

.
This equation is in standard form. .
Identify the a, b, c values. .
Write the Quadratic Formula. .
Then substitute in the values of a, b, c. .
Simplify. .
.
Simplify the radical. .
Factor out the common factor in the numerator. .
Remove the common factors. .
Rewrite to show two solutions. .
Check. We leave the check to you.

We cannot take the square root of a negative number. So, when we substitute \(a\), \(b\), and \(c\) into the Quadratic Formula, if the quantity inside the radical is negative, the quadratic equation has no real solution. We will see this in the next example.

Example

Solve \(3{p}^{2}+2p+9=0\) by using the Quadratic Formula.

Solution

This equation is in standard form. .
Identify the a, b, c values. .
Write the Quadratic Formula. .
Then substitute in the values of a, b, c. .
Simplify. .
Simplify the radical. .
We cannot take the square root of a negative number. There is no real solution.

The quadratic equations we have solved so far in this section were all written in standard form, \(a{x}^{2}+bx+c=0\). Sometimes, we will need to do some algebra to get the equation into standard form before we can use the Quadratic Formula.

Example

Solve \(x\left(x+6\right)+4=0\) by using the Quadratic Formula.

Solution

.
Distribute to get the equation in standard form. .
This equation is now in standard form. .
Identify the a, b, c values. .
Write the Quadratic Formula. .
Then substitute in the values of a, b, c. .
Simplify. .
Simplify inside the radical. .
Simplify the radical. .
Factor out the common factor in the numerator. .
Remove the common factors. .
Rewrite to show two solutions. .
Check. We leave the check to you.

When we solved linear equations, if an equation had too many fractions we ‘cleared the fractions’ by multiplying both sides of the equation by the LCD. This gave us an equivalent equation—without fractions—to solve. We can use the same strategy with quadratic equations.

Example

Solve \(\frac{1}{2}{u}^{2}+\frac{2}{3}u=\frac{1}{3}\) by using the Quadratic Formula.

Solution

.
Multiply both sides by the LCD, 6, to clear the fractions. .
Multiply. .
Subtract 2 to get the equation in standard form. .
Identify the a, b, c values. .
Write the Quadratic Formula. .
Then substitute in the values of a, b, c. .
Simplify. .
.
Simplify the radical. .
Factor out the common factor in the numerator. .
Remove the common factors. .
Rewrite to show two solutions. .
Check. We leave the check to you.

Think about the equation \({\left(x-3\right)}^{2}=0\). We know from the Zero Products Principle that this equation has only one solution: \(x=3\).

We will see in the next example how using the Quadratic Formula to solve an equation with a perfect square also gives just one solution.

Example

Solve \(4{x}^{2}-20x=-25\) by using the Quadratic Formula.

Solution

.
Add 25 to get the equation in standard form. .
Identify the a, b, c values. .
Write the Quadratic Formula. .
Then substitute in the values of a, b, c. .
Simplify. .
.
Simplify the radical. .
Simplify the fraction. .
Check. We leave the check to you.

Did you recognize that \(4{x}^{2}-20x+25\) is a perfect square?

Optional Video

This lesson is part of:

Introducing Quadratic Equations

View Full Tutorial

Track Your Learning Progress

Sign in to unlock unlimited practice exams, tutorial practice quizzes, personalized weak area practice, AI study assistance with Lexi, and detailed performance analytics.