Solving Equations That Require Simplification

Solving Equations That Require Simplification

In the previous examples, we were able to isolate the variable with just one operation. Most of the equations we encounter in algebra will take more steps to solve. Usually, we will need to simplify one or both sides of an equation before using the Subtraction or Addition Properties of Equality.

You should always simplify as much as possible before you try to isolate the variable. Remember that to simplify an expression means to do all the operations in the expression. Simplify one side of the equation at a time. Note that simplification is different from the process used to solve an equation in which we apply an operation to both sides.

Example: How to Solve Equations That Require Simplification

Solve: \(9x-5-8x-6=7.\)

Solution

This figure is a table that has three columns and four rows. The first column is a header column, and it contains the names and numbers of each step. The second column contains further written instructions. The third column contains math. On the top row of the table, the first cell on the left reads: “Step 1. Simplify the expressions on each side as much as possible.” The text in the second cell reads: “Rearrange the terms, using the Commutative Property of Addition. Combine like terms. Notice that each side is now simplified as much as possible.” The third cell contains the equation 9 x minus 5 minus 8 x minus 6 equals 7. Below this is the same equation, with the terms rearranged: 9 x minus 8 x minus 5 minus 6 equals 7. Below this is the equation with like terms combined: x minus 11 equals 7.In the second row of the table, the first cell says “Step 2. Isolate the variable.” In the second cell, the instructions say “Now isolate x. Undo subtraction by adding 11 to both sides.” The third cell contains the equation x minus 11 plus 11 equals 7 plus 11, with “plus 11” written in red on both sides.In the third row of the table, the first cell says: “Step 3. Simplify the equation on both sides of the equation.” The second cell is left blank. The third cell contains x equals 18.In the fourth and bottom row of the table, the first cell says: “Step 4. Check the solution.” The second cell is blank. In the third cell is the text “Check: Substitute x equals 18.” Below this is the equation 9 x minus 5 minus 8 x minus 6 equals 7. Underneath is the same equation, with 18 written in red in parentheses replacing each x: 9 times 18 (in parentheses) minus 5 minus 8 times 18 (in parentheses) minus 6 might equal 7. Below is the equation 162 minus 5 minus 144 minus 6 might equal 7. Below this is the equation 157 minus 144 minus 6 might equal 7. Below this is 13 minus 6 might equal 7. On the last line is the equation 7 equals 7, with a check mark next to it.

Example

Solve: \(5\left(n-4\right)-4n=-8.\)

Solution

We simplify both sides of the equation as much as possible before we try to isolate the variable.

.
Distribute on the left. .
Use the Commutative Property to rearrange terms. .
Combine like terms. .
Each side is as simplified as possible. Next, isolate \(n\).
Undo subtraction by using the Addition Property of Equality. .
Add. .
Check. Substitute \(n=12\).
.
The solution to \(5\left(n-4\right)-4n=-8\) is \(n=12.\)

Example

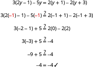
Solve: \(3\left(2y-1\right)-5y=2\left(y+1\right)-2\left(y+3\right).\)

Solution

We simplify both sides of the equation before we isolate the variable.

.
Distribute on both sides. .
Use the Commutative Property of Addition. .
Combine like terms. .
Each side is as simplified as possible. Next, isolate \(y\).
Undo subtraction by using the Addition Property of Equality. .
Add. .
Check. Let \(y=-1\).
.
The solution to \(3\left(2y-1\right)-5y=2\left(y+1\right)-2\left(y+3\right)\) is \(y=-1.\)

This lesson is part of:

Solving Linear Equations II

View Full Tutorial

Track Your Learning Progress

Sign in to unlock unlimited practice exams, tutorial practice quizzes, personalized weak area practice, AI study assistance with Lexi, and detailed performance analytics.