Solving Equations Using the Division and Multiplication Properties of Equality

Solving Equations Using the Division and Multiplication Properties of Equality

You may have noticed that all of the equations we have solved so far have been of the form \(x+a=b\) or \(x-a=b\). We were able to isolate the variable by adding or subtracting the constant term on the side of the equation with the variable. Now we will see how to solve equations that have a variable multiplied by a constant and so will require division to isolate the variable.

Let’s look at our puzzle again with the envelopes and counters in the figure below.

This image illustrates a workspace divided into two sides. The content of the left side is equal to the content of the right side. On the left side, there are two envelopes each containing an unknown but equal number of counters. On the right side are six counters.

The illustration shows a model of an equation with one variable multiplied by a constant. On the left side of the workspace are two instances of the unknown (envelope), while on the right side of the workspace are six counters.

In the illustration there are two identical envelopes that contain the same number of counters. Remember, the left side of the workspace must equal the right side, but the counters on the left side are “hidden” in the envelopes. So how many counters are in each envelope?

How do we determine the number? We have to separate the counters on the right side into two groups of the same size to correspond with the two envelopes on the left side. The 6 counters divided into 2 equal groups gives 3 counters in each group (since \(6÷2=3\)).

What equation models the situation shown in the figure below? There are two envelopes, and each contains \(x\) counters. Together, the two envelopes must contain a total of 6 counters.

This image illustrates a workspace divided into two sides. The content of the left side is equal to the content of the right side. On the left side, there are two envelopes each containing an unknown but equal number of counters. On the right side are six counters. Underneath the image is the equation modeled by the counters: 2 x equals 6.

The illustration shows a model of the equation \(2x=6\).

.
If we divide both sides of the equation by 2, as we did with the envelopes and counters, .
we get: .

We found that each envelope contains 3 counters. Does this check? We know \(2·3=6\), so it works! Three counters in each of two envelopes does equal six!

This example leads to the Division Property of Equality.

The Division Property of Equality

For any numbers a, b, and c, and \(c\ne 0\),

\(\begin{array}{ccccc}\text{If}\hfill & & \hfill a& =\hfill & b,\hfill \\ \text{then}\hfill & & \hfill \frac{a}{c}& =\hfill & \frac{b}{c}\hfill \end{array}\)

When you divide both sides of an equation by any non-zero number, you still have equality.

The goal in solving an equation is to ‘undo’ the operation on the variable. In the next example, the variable is multiplied by 5, so we will divide both sides by 5 to ‘undo’ the multiplication.

Example

Solve: \(5x=-27.\)

Solution

To isolate \(x\), “undo” the multiplication by 5. .
Divide to ‘undo’ the multiplication. .
Simplify. .
Check: .
Substitute \(-\frac{27}{5}\) for \(x.\) .
.
Since this is a true statement, \(x=-\frac{27}{5}\) is the solution to \(5x=-27\).

Consider the equation \(\frac{x}{4}=3\). We want to know what number divided by 4 gives 3. So to “undo” the division, we will need to multiply by 4. The Multiplication Property of Equality will allow us to do this. This property says that if we start with two equal quantities and multiply both by the same number, the results are equal.

The Multiplication Property of Equality

For any numbers a, b, and c,

\(\begin{array}{ccccc}\text{If}\hfill & & \hfill a& =\hfill & b,\hfill \\ \text{then}\hfill & & \hfill ac& =\hfill & bc\hfill \end{array}\)

If you multiply both sides of an equation by the same number, you still have equality.

Example

Solve: \(\frac{y}{-7}=-14.\)

Solution

Here \(y\) is divided by \(-7\). We must multiply by \(-7\) to isolate \(y\).

.
Multiply both sides by \(-7\). .
Multiply. .
Simplify. .
Check: \(\frac{y}{-7}=-14\)
Substitute \(y=98\). .
Divide. .

Example

Solve: \(\text{−}n=9.\)

Solution

.
Remember \(-n\) is equivalent to \(-1n\). .
Divide both sides by \(-1\). .
Divide. .
Notice that there are two other ways to solve \(-n=9\). We can also solve this equation by multiplying both sides by \(-1\) and also by taking the opposite of both sides.
Check: .
Substitute \(n=-9\). .
Simplify. .

Example

Solve: \(\frac{3}{4}x=12.\)

Solution

Since the product of a number and its reciprocal is 1, our strategy will be to isolate \(x\) by multiplying by the reciprocal of \(\frac{3}{4}\).

.
Multiply by the reciprocal of \(\frac{3}{4}\). .
Reciprocals multiply to 1. .
Multiply. .
Notice that we could have divided both sides of the equation \(\frac{3}{4}x=12\) by \(\frac{3}{4}\) to isolate \(x\). While this would work, most people would find multiplying by the reciprocal easier.
Check: .
Substitute \(x=16\). .
.

In the next example, all the variable terms are on the right side of the equation. As always, our goal in solving the equation is to isolate the variable.

Example

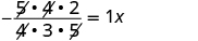
Solve: \(\frac{8}{15}=-\frac{4}{5}x.\)

Solution

.
Multiply by the reciprocal of \(-\frac{4}{5}\). .
Reciprocals multiply to 1. .
Multiply. .
Check: .
Let \(x=-\frac{2}{3}\). .
.

This lesson is part of:

Solving Linear Equations II

View Full Tutorial

Track Your Learning Progress

Sign in to unlock unlimited practice exams, tutorial practice quizzes, personalized weak area practice, AI study assistance with Lexi, and detailed performance analytics.