Solving Equations With Fraction Coefficients

Solving Equations With Fraction Coefficients

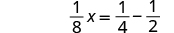
Let’s use the general strategy for solving linear equations introduced earlier to solve the equation, \(\frac{1}{8}x+\frac{1}{2}=\frac{1}{4}\).

.
To isolate the \(x\) term, subtract \(\frac{1}{2}\) from both sides. .
Simplify the left side. .
Change the constants to equivalent fractions with the LCD. .
Subtract. .
Multiply both sides by the reciprocal of \(\frac{1}{8}\). .
Simplify. .

This method worked fine, but many students do not feel very confident when they see all those fractions. So, we are going to show an alternate method to solve equations with fractions. This alternate method eliminates the fractions.

We will apply the Multiplication Property of Equality and multiply both sides of an equation by the least common denominator of all the fractions in the equation. The result of this operation will be a new equation, equivalent to the first, but without fractions. This process is called “clearing” the equation of fractions.

Let’s solve a similar equation, but this time use the method that eliminates the fractions.

Example: How to Solve Equations with Fraction Coefficients

Solve: \(\frac{1}{6}y-\frac{1}{3}=\frac{5}{6}\).

Solution

This figure is a table that has three columns and three rows. The first column is a header column, and it contains the names and numbers of each step. The second column contains further written instructions. The third column contains math. On the top row of the table, the first cell on the left reads: “Step 1. Find the least common denominator of all the fractions in the equation.” The text in the second cell reads: “What is the LCD of 1/6, 1/3, and 5/6?” The third cell contains the equation one-sixth y minus 1/3 equals 5/6, with LCD equals 6 written next to it.In the second row of the table, the first cell says: “Step 2. Multiply both sides of the equation by that LCD. This clears the fractions.” In the second cell, the instructions say: “Multiply both sides of the equation by the LCD 6. Use the Distributive Property. Simplify—and notice, no more fractions!” The third cell contains the equation 6 times one-sixth y minus 1/3, with one-sixth y minus 1/3 in brackets, equals 6 times 5/6, with “6 times” written in red on both sides. Below this is the same equation with the 6 distributed on both sides: 6 times one-sixth y minus 6 times 1/3 equals 6 times 5/6. Below this is the equation y minus 2 equals 5.In the third row of the table, the first cell says: “Step 3. Solve using the General Strategy for Solving Linear Equations.” In the second cell, the instructions say: “Isolate the x term, add 2. Simplify.” The third cell contains the equation with 2 added to both sides: y minus 2 plus 2 equals 5 plus 2, with “plus 2” written in red on both sides. Below this is the equation y equals 7.

Notice in the example above, once we cleared the equation of fractions, the equation was like those we solved earlier in this tutorial. We changed the problem to one we already knew how to solve! We then used the General Strategy for Solving Linear Equations.

Strategy to solve equations with fraction coefficients.

  1. Find the least common denominator of all the fractions in the equation.
  2. Multiply both sides of the equation by that LCD. This clears the fractions.
  3. Solve using the General Strategy for Solving Linear Equations.

Example

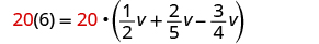
Solve: \(6=\frac{1}{2}v+\frac{2}{5}v-\frac{3}{4}v\).

Solution

We want to clear the fractions by multiplying both sides of the equation by the LCD of all the fractions in the equation.

Find the LCD of all fractions in the equation. .
The LCD is 20.
Multiply both sides of the equation by 20. .
Distribute. .
Simplify—notice, no more fractions! .
Combine like terms. .
Divide by 3. .
Simplify. .
Check: .
Let \(v=40\). .
.
.

In the next example, we again have variables on both sides of the equation.

Example

Solve: \(a+\frac{3}{4}=\frac{3}{8}a-\frac{1}{2}\).

Solution

.
Find the LCD of all fractions in the equation.
The LCD is 8.
Multiply both sides by the LCD. .
Distribute. .
Simplify—no more fractions. .
Subtract \(3a\) from both sides. .
Simplify. .
Subtract 6 from both sides. .
Simplify. .
Divide by 5. .
Simplify. .
Check: .
Let \(a=-2\). .
.
.
.

In the next example, we start by using the Distributive Property. This step clears the fractions right away.

Example

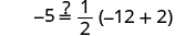
Solve: \(-5=\frac{1}{4}\left(8x+4\right)\).

Solution

.
Distribute. .
Simplify.
Now there are no fractions.
.
Subtract 1 from both sides. .
Simplify. .
Divide by 2. .
Simplify. .
Check: .
Let \(x=-3\). .
.
.
.

In the next example, even after distributing, we still have fractions to clear.

Example

Solve: \(\frac{1}{2}\left(y-5\right)=\frac{1}{4}\left(y-1\right)\).

Solution

.
Distribute. .
Simplify. .
Multiply by the LCD, 4. .
Distribute. .
Simplify. .
Collect the variables to the left. .
Simplify. .
Collect the constants to the right. .
Simplify. .
Check: .
Let \(y=9\). .
Finish the check on your own.

Example

Solve: \(\frac{5x-3}{4}=\frac{x}{2}\).

Solution

.
Multiply by the LCD, 4. .
Simplify. .
Collect the variables to the right. .
Simplify. .
Divide. .
Simplify. .
Check: .
Let \(x=1\). .
.
.

Example

Solve: \(\frac{a}{6}+2=\frac{a}{4}+3\).

Solution

.
Multiply by the LCD, 12. .
Distribute. .
Simplify. .
Collect the variables to the right. .
Simplify. .
Collect the constants to the left. .
Simplify. .
Check: .
Let \(a=-12\). .
.
.

Example

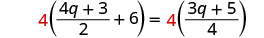
Solve: \(\frac{4q+3}{2}+6=\frac{3q+5}{4}\).

Solution

.
Multiply by the LCD, 4. .
Distribute. .
Simplify. .
.
.
Collect the variables to the left. .
Simplify. .
Collect the constants to the right. .
Simplify. .
Divide by 5. .
Simplify. .
Check: .
Let \(q=-5\). .
Finish the check on your own.

This lesson is part of:

Solving Linear Equations II

View Full Tutorial

Track Your Learning Progress

Sign in to unlock unlimited practice exams, tutorial practice quizzes, personalized weak area practice, AI study assistance with Lexi, and detailed performance analytics.