Solving Inequalities That Require Simplification

Solving Inequalities That Require Simplification

Most inequalities will take more than one step to solve. We follow the same steps we used in the general strategy for solving linear equations, but be sure to pay close attention during multiplication or division.

Example

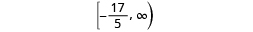
Solve the inequality \(4m\le 9m+17\), graph the solution on the number line, and write the solution in interval notation.

Solution

.
Subtract \(9m\) from both sides to collect the variables on the left. .
Simplify. .
Divide both sides of the inequality by −5, and reverse the inequality. .
Simplify. .
Graph the solution on the number line. .
Write the solution in interval notation. .

Example

Solve the inequality \(8p+3\left(p-12\right)>7p-28\), graph the solution on the number line, and write the solution in interval notation.

Solution

Simplify each side as much as possible. \(8p+3\left(p-12\right)>7p-28\)
Distribute. \(\phantom{\rule{0.6em}{0ex}}8p+3p-36>7p-28\)
Combine like terms. \(\phantom{\rule{2.3em}{0ex}}11p-36>7p-28\)
Subtract \(7p\) from both sides to collect the variables on the left. \(\phantom{\rule{2.2em}{0ex}}11p-36-7p>7p-28-7p\)
Simplify. \(\phantom{\rule{1.2em}{0ex}}4p-36>-28\)
Add 36 to both sides to collect the constants on the right. \(\phantom{\rule{1.3em}{0ex}}4p-36+36>-28+36\)
Simplify. \(\phantom{\rule{2em}{0ex}}4p>8\)
Divide both sides of the inequality by 4; the inequality stays the same. \(\phantom{\rule{2em}{0ex}}\frac{4p}{4}>\frac{8}{4}\)
Simplify. \(\phantom{\rule{2.5em}{0ex}}p>2\)
Graph the solution on the number line. .
Write the solution in interal notation. \(\left(2,\infty \right)\)

Just like some equations are identities and some are contradictions, inequalities may be identities or contradictions, too. We recognize these forms when we are left with only constants as we solve the inequality. If the result is a true statement, we have an identity. If the result is a false statement, we have a contradiction.

Example

Solve the inequality \(8x-2\left(5-x\right)<4\left(x+9\right)+6x\), graph the solution on the number line, and write the solution in interval notation.

Solution

Simplify each side as much as possible. \(8x-2\left(5-x\right)<4\left(x+9\right)+6x\)
Distribute. \(8x-10+2x<4x+36+6x\)
Combine like terms. \(10x-10<10x+36\)
Subtract \(10x\) from both sides to collect the variables on the left. \(10x-10-10x<10x+36-10x\)
Simplify. \(-10<36\phantom{\rule{0.6em}{0ex}}\)
The \(x\)’s are gone, and we have a true statement. The inequality is an identity.
The solution is all real numbers.
Graph the solution on the number line. .
Write the solution in interval notation. \(\left(-\infty ,\infty \right)\)

Example

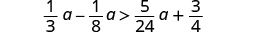
Solve the inequality \(\frac{1}{3}a-\frac{1}{8}a>\frac{5}{24}a\text{​}+\frac{3}{4}\), graph the solution on the number line, and write the solution in interval notation.

Solution

.
Multiply both sides by the LCD, 24, to clear the fractions. .
Simplify. .
Combine like terms. .
Subtract \(5a\) from both sides to collect the variables on the left. .
Simplify. .
The statement is false! The inequality is a contradiction.
There is no solution.
Graph the solution on the number line. .
Write the solution in interval notation. There is no solution.

This lesson is part of:

Solving Linear Equations II

View Full Tutorial

Track Your Learning Progress

Sign in to unlock unlimited practice exams, tutorial practice quizzes, personalized weak area practice, AI study assistance with Lexi, and detailed performance analytics.