Solving a System of Linear Equations By Graphing

Solving a System of Linear Equations By Graphing

In this tutorial we will use three methods to solve a system of linear equations. The first method we’ll use is graphing.

The graph of a linear equation is a line. Each point on the line is a solution to the equation. For a system of two equations, we will graph two lines. Then we can see all the points that are solutions to each equation. And, by finding what the lines have in common, we’ll find the solution to the system.

Most linear equations in one variable have one solution, but we saw that some equations, called contradictions, have no solutions and for other equations, called identities, all numbers are solutions.

Similarly, when we solve a system of two linear equations represented by a graph of two lines in the same plane, there are three possible cases, as shown in the figure below:

This figure shows three x y-coordinate planes. The first plane shows two lines which intersect at one point. Under the graph it says, “The lines intersect. Intersecting lines have one point in common. There is one solution to this system.” The second x y-coordinate plane shows two parallel lines. Under the graph it says, “The lines are parallel. Parallel lines have no points in common. There is no solution to this system.” The third x y-coordinate plane shows one line. Under the graph it says, “Both equations give the same line. Because we have just one line, there are infinitely many solutions.”

For the first example of solving a system of linear equations in this section and in the next two sections, we will solve the same system of two linear equations. But we’ll use a different method in each section. After seeing the third method, you’ll decide which method was the most convenient way to solve this system.

Example: How to Solve a System of Linear Equations by Graphing

Solve the system by graphing: \(\begin{array}{c}2x+y=7\hfill \\ x-2y=6\hfill \end{array}.\)

Solution

This table has four rows and three columns. The first column acts as the header column. The first row reads, “Step 1. Graph the first equation.” Then it reads, “To graph the first line, write the equation in slope-intercept form.” The equation reads 2x + y = 7 and becomes y = -2x + 7 where m = -2 and b = 7. Then it shows a graph of the equations 2x + y = 7. The equation x – 2y = 6 is also listed.The second row reads, “Step 2. Graph the second equation on the same rectangular coordinate system.” Then it says, “To graph the second line, use intercepts.” This is followed by the equation x – 2y = 6 and the ordered pairs (0, -3) and (6, 0). The last column of this row shows a graph of the two equations.The third row reads, “Step 3. Determine whether the lines intersect, are parallel, or are the same line.” Then “Look at the graph of the lines.” Finally it reads, “The lines intersect.”The fourth row reads, “Step 4. Identify the solution to the system. If the lines intersect, identify the point of intersection. Check to make sure it is a solution to both equations. This is the solution to the system. If the lines are parallel, the system has no solution. If the lines are the same, the system has an infinite number of solutions.” Then it reads, “Since the lines intersect, find the point of intersection. Check the point in both equations.” Finally it reads, “The lines intersect at (4, -1). It then uses substitution to show that, “The solution is (4, -1).”

The steps to use to solve a system of linear equations by graphing are shown below.

To solve a system of linear equations by graphing.

  1. Graph the first equation.
  2. Graph the second equation on the same rectangular coordinate system.
  3. Determine whether the lines intersect, are parallel, or are the same line.
  4. Identify the solution to the system.
    • If the lines intersect, identify the point of intersection. Check to make sure it is a solution to both equations. This is the solution to the system.
    • If the lines are parallel, the system has no solution.
    • If the lines are the same, the system has an infinite number of solutions.

Example

Solve the system by graphing: \(\begin{array}{c}y=2x+1\hfill \\ y=4x-1\hfill \end{array}.\)

Solution

Both of the equations in this system are in slope-intercept form, so we will use their slopes and y-intercepts to graph them. \(\begin{array}{c}y=2x+1\hfill \\ y=4x-1\hfill \end{array}\)

Find the slope and y-intercept of the first equation. .
Find the slope and y-intercept of the first equation. .
Graph the two lines.
Determine the point of intersection. The lines intersect at (1, 3).
.
Check the solution in both equations. \(\begin{array}{cccc}\begin{array}{ccc}\hfill y& =\hfill & 2x+1\hfill \\ \hfill 3& \stackrel{?}{=}\hfill & 2·1+1\hfill \\ \hfill 3& =\hfill & 3\phantom{\rule{0.2em}{0ex}}✓\hfill \end{array}& & & \begin{array}{ccc}\hfill y& =\hfill & 4x-1\hfill \\ \hfill 3& \stackrel{?}{=}\hfill & 4·1-1\hfill \\ \hfill 3& =\hfill & 3\phantom{\rule{0.2em}{0ex}}✓\hfill \end{array}\end{array}\)
The solution is (1, 3).

Both equations in the example above were given in slope–intercept form. This made it easy for us to quickly graph the lines. In the next example, we’ll first re-write the equations into slope–intercept form.

Example

Solve the system by graphing: \(\begin{array}{c}3x+y=-1\hfill \\ 2x+y=0\hfill \end{array}.\)

Solution

We’ll solve both of these equations for \(y\) so that we can easily graph them using their slopes and y-intercepts. \(\begin{array}{c}3x+y=-1\hfill \\ 2x+y=0\hfill \end{array}\)

Solve the first equation for y.

Find the slope and y-intercept.

Solve the second equation for y.

Find the slope and y-intercept.
\(\begin{array}{c}\begin{array}{ccc}\hfill 3x+y& =\hfill & -1\hfill \\ \hfill y& =\hfill & -3x-1\hfill \\ \\ \hfill m& =\hfill & -3\hfill \\ \hfill b& =\hfill & -1\hfill \\ \\ \hfill 2x+y& =\hfill & 0\hfill \\ \hfill y& =\hfill & -2x\hfill \\ \\ \hfill m& =\hfill & -2\hfill \\ \hfill b& =\hfill & 0\hfill \\ \hfill \end{array}\end{array}\)
Graph the lines. .
Determine the point of intersection. The lines intersect at (−1, 2).
Check the solution in both equations. \(\begin{array}{cccc}\begin{array}{ccc}\hfill 3x+y& =\hfill & -1\hfill \\ \hfill 3\left(-1\right)+2& \stackrel{?}{=}\hfill & -1\hfill \\ \hfill -1& =\hfill & -1\phantom{\rule{0.2em}{0ex}}✓\hfill \end{array}& & & \begin{array}{ccc}\hfill 2x+y& =\hfill & 0\hfill \\ \hfill 2\left(-1\right)+2& \stackrel{?}{=}\hfill & 0\hfill \\ \hfill 0& =\hfill & 0\phantom{\rule{0.2em}{0ex}}✓\hfill \end{array}\end{array}\)
The solution is (−1, 2).

Usually when equations are given in standard form, the most convenient way to graph them is by using the intercepts. We’ll do this in the example below.

Example

Solve the system by graphing: \(\begin{array}{c}x+y=2\hfill \\ x-y=4\hfill \end{array}.\)

Solution

We will find the x- and y-intercepts of both equations and use them to graph the lines.

.
To find the intercepts, let x = 0 and solve for y, then let y = 0 and solve for x. \(\begin{array}{cccc}\begin{array}{ccc}\hfill x+y& =\hfill & 2\hfill \\ 0+y& =\hfill & 2\hfill \\ y& =\hfill & 2\hfill \end{array}& & & \begin{array}{ccc}\hfill x+y& =\hfill & 2\hfill \\ x+0& =\hfill & 2\hfill \\ x& =\hfill & 2\hfill \end{array}\end{array}\) .
.
To find the intercepts, let x = 0 then let y = 0. \(\begin{array}{cccc}\begin{array}{ccc}\hfill x-y& =\hfill & 4\hfill \\ \hfill 0-y& =\hfill & 4\hfill \\ \hfill -y& =\hfill & 4\hfill \\ \hfill y& =\hfill & -4\hfill \end{array}& & & \begin{array}{ccc}\hfill x-y& =\hfill & 4\hfill \\ \hfill x-0& =\hfill & 4\hfill \\ \hfill x& =\hfill & 4\hfill \\ \end{array}\end{array}\)
.
Graph the line. This graph shows two lines intersection at point (3, -1) on an x y-coordinate plane.
Determine the point of intersection. The lines intersect at (3, −1).
Check the solution in both equations. \(\begin{array}{cccccccc}\hfill x+y& =\hfill & 2\hfill & & & \hfill x-y& =\hfill & 4\hfill \\ 3+\left(-1\right)\hfill & \stackrel{?}{=}\hfill & 2\hfill & & & \hfill 3-\left(-1\right)& \stackrel{?}{=}\hfill & 4\hfill \\ \hfill 2& =\hfill & 2✓\hfill & & & \hfill 4& =\hfill & 4✓\hfill \end{array}\)
The solution is (3, −1).

Do you remember how to graph a linear equation with just one variable? It will be either a vertical or a horizontal line.

Example

Solve the system by graphing: \(\begin{array}{c}y=6\hfill \\ 2x+3y=12\hfill \end{array}.\)

Solution

.
We know the first equation represents a horizontal line whose y-intercept is 6. .
The second equation is most conveniently graphed using intercepts. .
To find the intercepts, let x = 0 and then y = 0. .
Graph the lines. .
Determine the point of intersection. The lines intersect at (−3, 6).
Check the solution to both equations. \(\begin{array}{cccccccc}\hfill y& =\hfill & 6\hfill & & & \hfill 2x+3y& =\hfill & 12\hfill \\ \hfill 6& \stackrel{?}{=}\hfill & 6✓\hfill & & & \hfill 2\left(-3\right)+3\left(6\right)& \stackrel{?}{=}\hfill & 12\hfill \\ \hfill 2& =\hfill & 2\hfill & & & \hfill -6+18& \stackrel{?}{=}\hfill & 12\hfill \\ & & & & & \hfill 12& =\hfill & 12✓\hfill \end{array}\)
The solution is (−3, 6).

In all the systems of linear equations so far, the lines intersected and the solution was one point. In the next two examples, we’ll look at a system of equations that has no solution and at a system of equations that has an infinite number of solutions.

Example

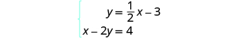
Solve the system by graphing: \(\begin{array}{c}y=\frac{1}{2}x-3\hfill \\ x-2y=4\hfill \end{array}.\)

Solution

.
To graph the first equation, we will use its slope and y-intercept. .
.
.
To graph the second equation, we will use the intercepts. .
.
Graph the lines. .
Determine the point of intersection.     The lines are parallel.
Since no point is on both lines, there is no ordered pair that makes both equations true. There is no solution to this system.

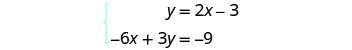
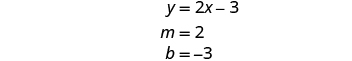
Example

Solve the system by graphing: \(\begin{array}{c}y=2x-3\hfill \\ -6x+3y=-9\hfill \end{array}.\)

Solution

.
Find the slope and y-intercept of the first equation. .
Find the intercepts of the second equation. .
.
Graph the lines. .
Determine the point of intersection. The lines are the same!
Since every point on the line makes both equations true, there are infinitely many ordered pairs that make both equations true.
There are infinitely many solutions to this system.

If you write the second equation in the example above in slope-intercept form, you may recognize that the equations have the same slope and same y-intercept.

When we graphed the second line in the last example, we drew it right over the first line. We say the two lines are coincident. Coincident lines have the same slope and same y-intercept.

Coincident Lines

Coincident lines have the same slope and same y-intercept.

This lesson is part of:

Systems of Linear Equations I

View Full Tutorial

Track Your Learning Progress

Sign in to unlock unlimited practice exams, tutorial practice quizzes, personalized weak area practice, AI study assistance with Lexi, and detailed performance analytics.