Solving Applications of Systems of Equations By Elimination

Solving Applications of Systems of Equations By Elimination

Some applications problems translate directly into equations in standard form, so we will use the elimination method to solve them. As before, we use our Problem Solving Strategy to help us stay focused and organized.

Example

The sum of two numbers is 39. Their difference is 9. Find the numbers.

Solution

\(\begin{array}{ccc}\mathbf{\text{Step 1. Read}}\phantom{\rule{0.2em}{0ex}}\text{the problem}\hfill & & \\ \mathbf{\text{Step 2. Identify}}\phantom{\rule{0.2em}{0ex}}\text{what we are looking for.}\hfill & & \hfill \text{We are looking for two numbers.}\hfill \\ \mathbf{\text{Step 3. Name}}\phantom{\rule{0.2em}{0ex}}\text{what we are looking for.}\hfill & & \begin{array}{c}\hfill \text{Let}\phantom{\rule{0.2em}{0ex}}n=\phantom{\rule{0.2em}{0ex}}\text{the first number.}\hfill \\ \hfill \phantom{\rule{2.3em}{0ex}}m=\text{the second number}\hfill \end{array}\hfill \\ \begin{array}{c}\mathbf{\text{Step 4. Translate}}\phantom{\rule{0.2em}{0ex}}\text{into a system of equations.}\hfill \\ \\ \end{array}\hfill & & \hfill \begin{array}{}\\ \text{The sum of two numbers is 39.}\hfill \\ \hfill \phantom{\rule{0.3em}{0ex}}n+m=39\hfill \\ \hfill \text{Their difference is 9.}\hfill \\ \hfill n-m=9\hfill \end{array}\hfill \\ \text{The system is:}\hfill & & \hfill \begin{array}{c}n+m=39\hfill \\ n-m=9\hfill \end{array}\hfill \\ \begin{array}{c}\mathbf{\text{Step 5. Solve}}\phantom{\rule{0.2em}{0ex}}\text{the system of equations.}\hfill \\ \text{To solve the system of equations, use}\hfill \\ \text{elimination. The equations are in standard}\hfill \\ \text{form and the coefficients of}\phantom{\rule{0.2em}{0ex}}m\phantom{\rule{0.2em}{0ex}}\text{are}\hfill \\ \text{opposites. Add.}\hfill \\ \\ \text{Solve for}\phantom{\rule{0.2em}{0ex}}n.\hfill \\ \\ \end{array}\hfill & & \hfill \begin{array}{c}\hfill \underset{\text{____________}}{\begin{array}{c}n+m=39\hfill \\ n-m=9\hfill \end{array}}\hfill \\ \hfill 2n\phantom{\rule{1.8em}{0ex}}=48\hfill \\ \\ \hfill \phantom{\rule{2.21em}{0ex}}n=24\hfill \end{array}\hfill \\ \begin{array}{c}\text{Substitute}\phantom{\rule{0.2em}{0ex}}n=24\phantom{\rule{0.2em}{0ex}}\text{into one of the original}\hfill \\ \text{equations and solve for}\phantom{\rule{0.2em}{0ex}}m.\hfill \end{array}\hfill & & \hfill \begin{array}{c}\hfill \phantom{\rule{0.2em}{0ex}}\begin{array}{c}\hfill n+m=39\\ \hfill 24+m=39\\ \hfill m=15\end{array}\hfill \end{array}\hfill \\ \mathbf{\text{Step 6. Check}}\phantom{\rule{0.2em}{0ex}}\text{the answer.}\hfill & & \phantom{\rule{1.55em}{0ex}}\text{Since}\phantom{\rule{0.2em}{0ex}}24+15=39\phantom{\rule{0.2em}{0ex}}\text{and}\hfill \\ & & \hfill 24-15=9,\phantom{\rule{0.2em}{0ex}}\text{the answers check.}\hfill \\ \mathbf{\text{Step 7. Answer}}\phantom{\rule{0.2em}{0ex}}\text{the question.}\hfill & & \hfill \text{The numbers are 24 and 15.}\hfill \end{array}\)

Example

Joe stops at a burger restaurant every day on his way to work. Monday he had one order of medium fries and two small sodas, which had a total of 620 calories. Tuesday he had two orders of medium fries and one small soda, for a total of 820 calories. How many calories are there in one order of medium fries? How many calories in one small soda?

Solution

Step 1. Read the problem.
Step 2. Identify what we are looking for. We are looking for the number of calories in one order of medium fries and in one small soda.
Step 3. Name what we are looking for. Let f = the number of calories in 1 order of medium fries.
s = the number of calories in 1 small soda.
Step 4. Translate into a system of equations: one medium fries and two small sodas had a total of 620 calories
.
two medium fries and one small soda had a total of 820 calories.
.
Our system is: .
Step 5. Solve the system of equations.
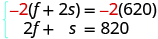
To solve the system of equations, use elimination. The equations are in standard form. To get opposite coefficients of f, multiply the top equation by −2.
.
Simplify and add. .
Solve for s. .
Substitute s = 140 into one of the original equations and then solve for f. .
.
.
.
Step 6. Check the answer. Verify that these numbers make sense in the problem and that they are solutions to both equations.
We leave this to you!
Step 7. Answer the question. The small soda has 140 calories and the fries have 340 calories.

This lesson is part of:

Systems of Linear Equations I

View Full Tutorial

Track Your Learning Progress

Sign in to unlock unlimited practice exams, tutorial practice quizzes, personalized weak area practice, AI study assistance with Lexi, and detailed performance analytics.