Solving Interest Applications

Solving Interest Applications

The formula to model interest applications is I = Prt. Interest, I, is the product of the principal, P, the rate, r, and the time, t. In our work here, we will calculate the interest earned in one year, so t will be 1.

We modify the column titles in the mixture table to show the formula for interest, as you’ll see in the example below.

Example

Translate to a system of equations and solve:

Adnan has $40,000 to invest and hopes to earn 7.1% interest per year. He will put some of the money into a stock fund that earns 8% per year and the rest into bonds that earns 3% per year. How much money should he put into each fund?

Solution

Step 1. Read the problem. A chart will help us organize the information.
Step 2. Identify what we are looking for. We are looking for the amount to invest in each fund.
Step 3. Name what we are looking for. Let \(s=\) the amount invested in stocks.
\(\phantom{\rule{1.5em}{0ex}}b=\) the amount invested in bonds.
Write the interest rate as a decimal for each fund.
Multiply:
Principal · Rate · Time
to get the Interest.
.
Step 4. Translate into a system of equations.
We get our system of equations from the Principal column and the Interest column.
.
Step 5. Solve the system of equations
Solve by elimination.
Multiply the top equation by −0.03.
.
Simplify and add to solve for s. .
.
To find b, substitute s = 32,800 into the first equation. .
.
.
Step 6. Check the answer in the problem. We leave the check to you.
Step 7. Answer the question. Adnan should invest $32,800 in stock and $7,200 in bonds.

Did you notice that the Principal column represents the total amount of money invested while the Interest column represents only the interest earned? Likewise, the first equation in our system, s + b = 40,000, represents the total amount of money invested and the second equation, 0.08s + 0.03b = 0.071(40,000), represents the interest earned.

Example

Translate to a system of equations and solve:

Rosie owes $21,540 on her two student loans. The interest rate on her bank loan is 10.5% and the interest rate on the federal loan is 5.9%. The total amount of interest she paid last year was $1,669.68. What was the principal for each loan?

Solution

Step 1. Read the problem. A chart will help us organize the information.
Step 2. Identify what we are looking for. We are looking for the principal of each loan.
Step 3. Name what we are looking for. Let \(b=\) the principal for the bank loan.
\(\phantom{\rule{1.5em}{0ex}}f=\) the principal on the federal loan
The total loans are $21,540.
Record the interest rates as decimals in the chart. .
Multiply using the formula l = Pr t to get the Interest.
Step 4. Translate into a system of equations.
The system of equations comes from the Principal column and the Interest column.
.
Step 5. Solve the system of equations
We will use substitution to solve.
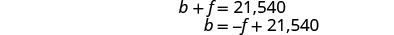
Solve the first equation for b.
.
Substitute b = −f + 21,540 into the second equation. .
Simplify and solve for f. .
.
.
.
To find b, substitute f = 12,870 into the first equation. .
.
.
Step 6. Check the answer in the problem. We leave the check to you.
Step 7. Answer the question. The principal of the bank loan is $12,870 and the principal for the federal loan is $8,670.

Key Concepts

  • Table for coin and mixture applications
    This table is mostly blank. It has four columns and four rows. The last row is labeled “Total.” The first row labels each column as “Type,” and “Number times Value = Total Value.”
  • Table for concentration applications
    This table is mostly blank. It has four columns and four rows. The last row is labeled “Total.” The first row labels each column as “Type,” and “Number of units times Concentration = Amount.”
  • Table for interest applications
    This table is mostly blank. It has five columns and four rows. The last row is labeled “Total.” The first row labels each column as “Type,” and “Principal times Rate times Time = Interest”

This lesson is part of:

Systems of Linear Equations I

View Full Tutorial

Track Your Learning Progress

Sign in to unlock unlimited practice exams, tutorial practice quizzes, personalized weak area practice, AI study assistance with Lexi, and detailed performance analytics.