Solving Mixture Applications

Solving Mixture Applications

When we solved mixture applications with coins and tickets earlier, we started by creating a table so we could organize the information. For a coin example with nickels and dimes, the table looked like this:

This is a table with three rows and four columns. The first row of the table is a header row, and each cell names the column or columns below it. The first cell from the left is named “Type.” The second cell contains the equation “Number” times “Value” equals “Total Value,” with one column corresponding to “Number,” one column corresponding to “Value,” and one column corresponding to total value. Hence the content of the “Number” column times the content of the “Value” column equals the content of the “Total Value” column. In the second row of the table, the “Type” column contains “nickels,” the “Number” column is blank, the “Value” column contains 0.05, and the “Total Value” column is blank. In the third row of the table, the “Type” column contains “dimes,” the “Number” column is blank, the “Value column contains 0.10, and the “Total Value” column is blank.

Using one variable meant that we had to relate the number of nickels and the number of dimes. We had to decide if we were going to let n be the number of nickels and then write the number of dimes in terms of n, or if we would let d be the number of dimes and write the number of nickels in terms of d.

Now that we know how to solve systems of equations with two variables, we’ll just let n be the number of nickels and d be the number of dimes. We’ll write one equation based on the total value column, like we did before, and the other equation will come from the number column.

For the first example, we’ll do a ticket problem where the ticket prices are in whole dollars, so we won’t need to use decimals just yet.

Example

Translate to a system of equations and solve:

The box office at a movie theater sold 147 tickets for the evening show, and receipts totaled $1,302. How many $11 adult and how many $8 child tickets were sold?

Solution

Step 1. Read the problem. We will create a table to organize the information.
Step 2. Identify what we are looking for. We are looking for the number of adult tickets and the number of child tickets sold.
Step 3. Name what we are looking for. Let \(a=\) the number of adult tickets.
\(\phantom{\rule{1.5em}{0ex}}c=\) the number of child tickets
A table will help us organize the data.
We have two types of tickets: adult and child.
Write a and c for the number of tickets.
Write the total number of tickets sold at the bottom of the Number column. Altogether 147 were sold.
Write the value of each type of ticket in the Value column. The value of each adult ticket is $11.
The value of each child tickets is $8.
The number times the value gives the total value, so the total value of adult tickets is \(a·11=11a\), and the total value of child tickets is \(c·8=8c.\) .
Altogether the total value of the tickets was $1,302. Fill in the Total Value column.
Step 4. Translate into a system of equations.
The Number column and the Total Value column give us the system of equations.
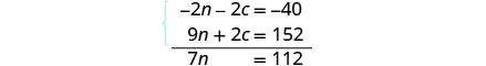
We will use the elimination method to solve this system.
.
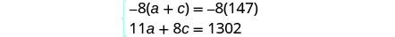
Multiply the first equation by −8. .
Simplify and add, then solve for a. .
.
Substitute a = 42 into the first equation, then solve for c. .
.
Step 5. Check the answer in the problem.
42 adult tickets at $11 per ticket makes $462
105 child tickets at $8 per ticket makes $840.
The total receipts are $1,302.✓
Step 6. Answer the question. The movie theater sold 42 adult tickets and 105 child tickets.

In the example below we’ll solve a coin problem. Now that we know how to work with systems of two variables, naming the variables in the ‘number’ column will be easy.

Example

Translate to a system of equations and solve:

Priam has a collection of nickels and quarters, with a total value of $7.30. The number of nickels is six less than three times the number of quarters. How many nickels and how many quarters does he have?

Solution

Step 1. Read the problem. We will create a table to organize the information.
Step 2. Identify what we are looking for. We are looking for the number of nickels and the number of quarters.
Step 3. Name what we are looking for. Let \(n=\) the number of nickels.
\(\phantom{\rule{1.5em}{0ex}}q=\) the number of quarters
A table will help us organize the data.
We have two types of coins, nickels and quarters.
Write n and q for the number of each type of coin.
Fill in the Value column with the value of each type of coin. The value of each nickel is $0.05.
The value of each quarter is $0.25.
The number times the value gives the total value, so, the total value of the nickels is n (0.05) = 0.05n and the total value of quarters is q(0.25) = 0.25q.
Altogether the total value of the coins is $7.30.
.
Step 4. Translate into a system of equations.
The Total value column gives one equation. .
We also know the number of nickels is six less than three times the number of quarters.
Translate to get the second equation.
.
Now we have the system to solve. .
Step 5. Solve the system of equations
We will use the substitution method.
Substitute n = 3q − 6 into the first equation.
Simplify and solve for q.
.
.
.
.
.
.
To find the number of nickels, substitute q = 19 into the second equation. .
.
.
Step 6. Check the answer in the problem.
\(\begin{array}{ccc}\hfill 19\phantom{\rule{0.2em}{0ex}}\text{quarters at}\phantom{\rule{0.2em}{0ex}}\$0.25& =\hfill & \$4.75\hfill \\ \hfill 51\text{nickels at}\phantom{\rule{0.2em}{0ex}}\$0.05& =\hfill & \$2.55\hfill \\ \hfill \text{Total}& =\hfill & \$7.30\phantom{\rule{0.2em}{0ex}}✓\hfill \\ \hfill 3\cdot 19-16& =\hfill & 51\phantom{\rule{0.2em}{0ex}}✓\hfill \end{array}\)
Step 7. Answer the question. Priam has 19 quarters and 51 nickels.

Some mixture applications involve combining foods or drinks. Example situations might include combining raisins and nuts to make a trail mix or using two types of coffee beans to make a blend.

Example

Translate to a system of equations and solve:

Carson wants to make 20 pounds of trail mix using nuts and chocolate chips. His budget requires that the trail mix costs him $7.60 per pound. Nuts cost $9.00 per pound and chocolate chips cost $2.00 per pound. How many pounds of nuts and how many pounds of chocolate chips should he use?

Solution

Step 1. Read the problem. We will create a table to organize the information.
Step 2. Identify what we are looking for. We are looking for the number of pounds of nuts and the number of pounds of chocolate chips.
Step 3. Name what we are looking for. Let \(n=\) the number of pound of nuts.
\(\phantom{\rule{1.5em}{0ex}}c=\) the number of pounds of chips
Carson will mix nuts and chocolate chips to get trail mix.
Write in n and c for the number of pounds of nuts and chocolate chips.
There will be 20 pounds of trail mix.
Put the price per pound of each item in the Value column.
Fill in the last column using
.
Number · Value = Total Value
Step 4. Translate into a system of equations.
We get the equations from the Number and Total Value columns.
.
Step 5. Solve the system of equations
We will use elimination to solve the system.
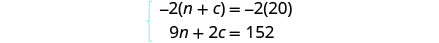
Multiply the first equation by −2 to eliminate c. .
Simplify and add. Solve for n. .
.
To find the number of pounds of chocolate chips, substitute n = 16 into the first equation, then solve for c. .
.
\(c=4\)
Step 6. Check the answer in the problem.
\(\begin{array}{ccc}\hfill 16+4& =\hfill & 20\phantom{\rule{0.2em}{0ex}}✓\hfill \\ \hfill 9·16+2·4& =\hfill & 152\phantom{\rule{0.2em}{0ex}}✓\hfill \end{array}\)
Step 7. Answer the question. Carson should mix 16 pounds of nuts with 4 pounds of chocolate chips to create the trail mix.

Another application of mixture problems relates to concentrated cleaning supplies, other chemicals, and mixed drinks. The concentration is given as a percent. For example, a 20% concentrated household cleanser means that 20% of the total amount is cleanser, and the rest is water. To make 35 ounces of a 20% concentration, you mix 7 ounces (20% of 35) of the cleanser with 28 ounces of water.

For these kinds of mixture problems, we’ll use percent instead of value for one of the columns in our table.

Example

Translate to a system of equations and solve:

Sasheena is a lab assistant at her community university. She needs to make 200 milliliters of a 40% solution of sulfuric acid for a lab experiment. The lab has only 25% and 50% solutions in the storeroom. How much should she mix of the 25% and the 50% solutions to make the 40% solution?

Solution

Step 1. Read the problem. A figure may help us visualize the situation, then we will create a table to organize the information.
Sasheena must mix some of the 25% solution and some of the 50% solution together to get 200 ml of the 40% solution. .
Step 2. Identify what we are looking for. We are looking for how much of each solution she needs.
Step 3. Name what we are looking for. Let \(x=\) number of ml of 25% solution.
\(\phantom{\rule{1.5em}{0ex}}y=\) number of ml of 50% solution
A table will help us organize the data.
She will mix x ml of 25% with y ml of 50% to get 200 ml of 40% solution.
We write the percents as decimals in the chart.
We multiply the number of units times the concentration to get the total amount of sulfuric acid in each solution.
.
Step 4. Translate into a system of equations. We get the equations from the Number column and the Amount column.
Now we have the system. .
Step 5. Solve the system of equations.
We will solve the system by elimination.
Multiply the first equation by −0.5 to eliminate y.
.
Simplify and add to solve for x. .
To solve for y, substitute x = 80 into the first equation. .
.
.
Step 6. Check the answer in the problem.
\(\begin{array}{ccc}\hfill 80+120& =\hfill & 120\phantom{\rule{0.2em}{0ex}}✓\hfill \\ \hfill 0.25\left(80\right)+0.50\left(120\right)& =\hfill & 80\phantom{\rule{0.2em}{0ex}}✓\hfill \\ \hfill & \hfill & \text{Yes!}\hfill \end{array}\)
Step 7. Answer the question. Sasheena should mix 80 ml of the 25% solution with 120 ml of the 50% solution to get the 200 ml of the 40% solution.

This lesson is part of:

Systems of Linear Equations I

View Full Tutorial

Track Your Learning Progress

Sign in to unlock unlimited practice exams, tutorial practice quizzes, personalized weak area practice, AI study assistance with Lexi, and detailed performance analytics.