The Ionization of Hydrated Metal Ions

The Ionization of Hydrated Metal Ions

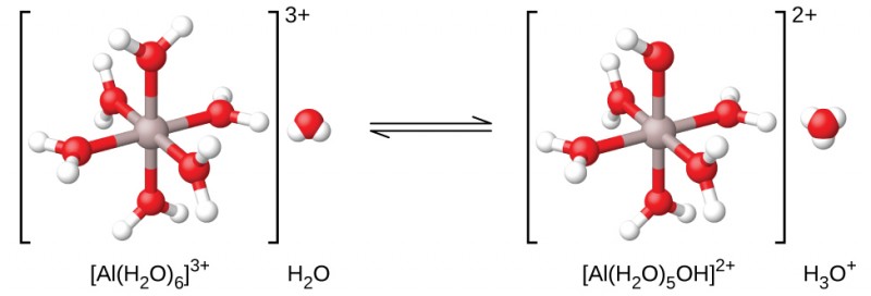
If we measure the pH of the solutions of a variety of metal ions we will find that these ions act as weak acids when in solution. The aluminum ion is an example. When aluminum nitrate dissolves in water, the aluminum ion reacts with water to give a hydrated aluminum ion, \(\text{Al}\left({\text{H}}_{2}\text{O}\right)_{6}^{3+},\) dissolved in bulk water. What this means is that the aluminum ion has the strongest interactions with the six closest water molecules (the so-called first solvation shell), even though it does interact with the other water molecules surrounding this \(\text{Al}\left({\text{H}}_{2}\text{O}\right)_{6}^{3+}\) cluster as well:

\(\text{Al}\left({\text{NO}}_{3}\right)_{3}\left(s\right)+6{\text{H}}_{2}\text{O}\left(l\right)\phantom{\rule{0.2em}{0ex}}⟶\phantom{\rule{0.2em}{0ex}}\text{Al}\left({\text{H}}_{2}\text{O}\right)_{6}^{3+}\left(aq\right)+3{\text{NO}}_{3}^{\text{−}}\left(aq\right)\)

We frequently see the formula of this ion written simply as “Al3+(aq)”, without explicitly noting that six water molecules are covalently bonded to the aluminum ion. This is similar to the simplification of the formula of the hydronium ion, H3O+ to H+. In this case, a bonded water molecule acts as a weak acid (see the figure below) and donates a proton to a water molecule.

\(\text{Al(H}_2\text{O})_6^{\;\;3+}(aq)\;+\;\text{H}_2\text{O}(l)\;{\rightleftharpoons}\;\text{H}_3\text{O}^{+}(aq)\;+\;\text{Al(H}_2\text{O})_5(\text{OH})^{2+}(aq)\;\;\;\;\;\;\;K_{\text{a}} = 1.4\;\times\;10^{-5}\)

The conjugate base produced by this process contains five other bonded water molecules capable of acting as acids, and so the sequential or step-wise transfer of protons is possible as depicted in the equations below:

\(\begin{array}{rl} \text{Al(H}_2\text{O})_6^{\;\;3+}(aq)\;+\;\text{H}_2\text{O}(l) \rightleftharpoons & \text{H}_3\text{O}^{+}(aq)\;+\;\text{Al(H}_2\text{O})_5(\text{OH})^{2+}(aq) \\[0.5em] \text{Al(H}_2\text{O})_5(\text{OH})^{2+}(aq)\;+\;\text{H}_2\text{O}(l) \rightleftharpoons & \text{H}_3\text{O}^{+}(aq)\;+\;\text{Al(H}_2\text{O})_4(\text{OH})_2^{\;\;+}(aq) \\[0.5em] \text{Al(H}_2\text{O})_4(\text{OH})_2^{\;\;+}(aq)\;+\;\text{H}_2\text{O}(l) \rightleftharpoons & \text{H}_3\text{O}^{+}(aq)\;+\;\text{Al(H}_2\text{O})_3(\text{OH})_3(aq) \end{array}\)

This is an example of a polyprotic acid, the topic of discussion in a later section of this tutorial.

A reaction is shown using ball and stick models. On the left, inside brackets with a superscript of 3 plus outside to the right is structure labeled “[ A l ( H subscript 2 O ) subscript 6 ] superscript 3 plus.” Inside the brackets is s central grey atom to which 6 red atoms are bonded in an arrangement that distributes them evenly about the central grey atom. Each red atom has two smaller white atoms attached in a forked or bent arrangement. Outside the brackets to the right is a space-filling model that includes a red central sphere with two smaller white spheres attached in a bent arrangement. Beneath this structure is the label “H subscript 2 O.” A double sided arrow follows. Another set of brackets follows to the right of the arrows which have a superscript of two plus outside to the right. The structure inside the brackets is similar to that on the left, except a white atom is removed from the structure. The label below is also changed to “[ A l ( H subscript 2 O ) subscript 5 O H ] superscript 2 plus.” To the right of this structure and outside the brackets is a space filling model with a central red sphere to which 3 smaller white spheres are attached. This structure is labeled “H subscript 3 O superscript plus.”

When an aluminum ion reacts with water, the hydrated aluminum ion becomes a weak acid.

Additional examples of the first stage in the ionization of hydrated metal ions are:

\(\begin{array}{r @{{}\rightleftharpoons{}} ll} \text{Fe(H}_2\text{O})_6^{\;\;3+}(aq)\;+\;\text{H}_2\text{O}(l) & \text{H}_3\text{O}^{+}(aq)\;+\;\text{Fe(H}_2\text{O})_5(\text{OH})^{2+}(aq) & K_{\text{a}} = 2.74 \\[0.5em] \text{Cu(H}_2\text{O})_6^{\;\;2+}(aq)\;+\;\text{H}_2\text{O}(l) & \text{H}_3\text{O}^{+}(aq)\;+\;\text{Cu(H}_2\text{O})_5(\text{OH})^{+}(aq) & K_{\text{a}} = {\sim}6.3 \\[0.5em] \text{Zn(H}_2\text{O})_4^{\;\;2+}(aq)\;+\;\text{H}_2\text{O}(l) & \text{H}_3\text{O}^{+}(aq)\;+\;\text{Zn(H}_2\text{O})_3(\text{OH})^{+}(aq) & K_{\text{a}} = 9.6 \end{array}\)

Example

Hydrolysis of [Al(H2O)6]3+Calculate the p

H of a 0.10-M solution of aluminum chloride, which dissolves completely to give the hydrated aluminum ion \({\left[\text{Al}\left({\text{H}}_{2}\text{O}\right)_{6}\right]}^{3+}\) in solution.

Solution

In spite of the unusual appearance of the acid, this is a typical acid ionization problem.

Four tan rectangles are shown that are connected with right pointing arrows. The first is labeled “Determine the direction of change.” The second is labeled “Determine x and the equilibrium concentrations.” The third is labeled “Solve for x and the equilibrium concentrations.” The fourth is labeled “Check the math.”
  1. Determine the direction of change. The equation for the reaction and Ka are:

    \(\text{Al(H}_2\text{O})_6^{\;\;3+}(aq)\;+\;\text{H}_2\text{O}(l)\;{\rightleftharpoons}\;\text{H}_3\text{O}^{+}(aq)\;+\;\text{Al(H}_2\text{O})_5(\text{OH})^{2+}(aq)\;\;\;\;\;\;\;K_{\text{a}} = 1.4\;\times\;10^{-5}\)

    The reaction shifts to the right to reach equilibrium.
  2. Determine x and equilibrium concentrations. Use the table:

    This table has two main columns and four rows. The first row for the first column does not have a heading and then has the following in the first column: Initial concentration ( M ), Change ( M ), Equilibrium concentration ( M ). The second column has the header of “A l ( H subscript 2 O ) subscript 6 superscript 3 positive sign plus H subscript 2 O equilibrium arrow H subscript 3 O superscript positive sign plus A l ( H subscript 2 O ) subscript 5 ( O H ) superscript 2 positive sign.” Under the second column is a subgroup of four columns and three rows. The first column has the following: 0.10 (which appears in red), negative x, 0.10 minus x. The second column is blank. The third column has the following: approximately 0, x, x. The fourth column has the following: 0, x, x.

  3. Solve for x and the equilibrium concentrations. Substituting the expressions for the equilibrium concentrations into the equation for the ionization constant yields:

    \(K_{\text{a}} = \cfrac{[\text{H}_3\text{O}^{+}][\text{Al(H}_2\text{O})_5(\text{OH})^{2+}]}{[\text{Al(H}_2\text{O})_6^{\;\;3+}]}\)

    \(= \cfrac{(x)(x)}{0.10\;-\;x} = 1.4\;\times\;10^{-5}\)

    Solving this equation gives:

    \(x=1.2\phantom{\rule{0.2em}{0ex}}×\phantom{\rule{0.2em}{0ex}}{10}^{-3}\phantom{\rule{0.2em}{0ex}}M\)

    From this we find:

    \(\left[{\text{H}}_{3}{\text{O}}^{\text{+}}\right]=0+x=1.2\phantom{\rule{0.2em}{0ex}}×\phantom{\rule{0.2em}{0ex}}{10}^{-3}\phantom{\rule{0.2em}{0ex}}M\)

    \(\text{pH}=\text{−log}\left[{\text{H}}_{3}{\text{O}}^{\text{+}}\right]\phantom{\rule{0.2em}{0ex}}=2.92\phantom{\rule{0.2em}{0ex}}\left(\text{an acidic solution}\right)\)

  4. Check the work. The arithmetic checks; when 1.2 \(×\) 10−3M is substituted for x, the result = Ka.

The constants for the different stages of ionization are not known for many metal ions, so we cannot calculate the extent of their ionization. However, practically all hydrated metal ions other than those of the alkali metals ionize to give acidic solutions. Ionization increases as the charge of the metal ion increases or as the size of the metal ion decreases.

This lesson is part of:

Acid-Base Equilibria

View Full Tutorial

Track Your Learning Progress

Sign in to unlock unlimited practice exams, tutorial practice quizzes, personalized weak area practice, AI study assistance with Lexi, and detailed performance analytics.