Graphing a Linear Equation By Plotting Points

Graphing a Linear Equation By Plotting Points

There are several methods that can be used to graph a linear equation. The method we used to graph \(3x+2y=6\) is called plotting points, or the Point–Plotting Method.

Example: How To Graph an Equation By Plotting Points

Graph the equation \(y=2x+1\) by plotting points.

Solution

The figure shows the three step procedure for graphing a line from the equation using the example equation y equals 2x minus 1. The first step is to “Find three points whose coordinates are solutions to the equation. Organize the solutions in a table”. The remark is made that “You can choose any values for x or y. In this case, since y is isolated on the left side of the equation, it is easier to choose values for x”. The work for the first step of the example is shown through a series of equations aligned vertically. From the top down, the equations are y equals 2x plus 1, x equals 0 (where the 0 is blue), y equals 2x plus 1, y equals 2(0) plus 1 (where the 0 is blue), y equals 0 plus 1, y equals 1, x equals 1 (where the 1 is blue), y equals 2x plus 1, y equals 2(1) plus 1 (where the 1 is blue), y equals 2 plus 1, y equals 3, x equals negative 2 (where the negative 2 is blue), y equals 2x plus 1, y equals 2(negative 2) plus 1 (where the negative 2 is blue), y equals negative 4 plus 1, y equals negative 3. The work is then organized in a table. The table has 5 rows and 3 columns. The first row is a title row with the equation y equals 2x plus 1. The second row is a header row and it labels each column. The first column header is “x”, the second is “y” and the third is “(x, y)”. Under the first column are the numbers 0, 1, and negative 2. Under the second column are the numbers 1, 3, and negative 3. Under the third column are the ordered pairs (0, 1), (1, 3), and (negative 2, negative 3).The second step is to “Plot the points in a rectangular coordinate system. Check that the points line up. If they do not, carefully check your work!” For the example the points are (0, 1), (1, 3), and (negative 2, negative 3). A graph shows the three points on the x y-coordinate plane. The x-axis of the plane runs from negative 7 to 7. The y-axis of the plane runs from negative 7 to 7. Dots mark off the three points at (0, 1), (1, 3), and (negative 2, negative 3). The question “Do the points line up?” is stated and followed with the answer “Yes, the points line up.”The third step of the procedure is “Draw the line through the three points. Extend the line to fill the grid and put arrows on both ends of the line.” A graph shows a straight line drawn through three points on the x y-coordinate plane. The x-axis of the plane runs from negative 7 to 7. The y-axis of the plane runs from negative 7 to 7. Dots mark off the three points at (0, 1), (1, 3), and (negative 2, negative 3). A straight line goes through all three points. The line has arrows on both ends pointing to the edge of the figure. The line is labeled with the equation y equals 2x plus 1. The statement “This line is the graph of y equals 2x plus 1” is included next to the graph.

The steps to take when graphing a linear equation by plotting points are summarized below.

Graph a linear equation by plotting points.

  1. Find three points whose coordinates are solutions to the equation. Organize them in a table.
  2. Plot the points in a rectangular coordinate system. Check that the points line up. If they do not, carefully check your work.
  3. Draw the line through the three points. Extend the line to fill the grid and put arrows on both ends of the line.

It is true that it only takes two points to determine a line, but it is a good habit to use three points. If you only plot two points and one of them is incorrect, you can still draw a line but it will not represent the solutions to the equation. It will be the wrong line.

If you use three points, and one is incorrect, the points will not line up. This tells you something is wrong and you need to check your work. Look at the difference between part (a) and part (b) in the figure below.

Figure a shows three points with a straight line going through them. Figure b shows three points that do not lie on the same line.

Let’s do another example. This time, we’ll show the last two steps all on one grid.

Example

Graph the equation \(y=-3x\).

Solution

Find three points that are solutions to the equation. Here, again, it’s easier to choose values for \(x\). Do you see why?

The figure shows three sets of equations used to determine ordered pairs from the equation y equals negative 3x. The first set has the equations: x equals 0 (where the 0 is blue), y equals negative 3x, y equals negative 3(0) (where the 0 is blue), y equals 0. The second set has the equations: x equals 1 (where the 1 is blue), y equals negative 3x, y equals negative 3(1) (where the 1 is blue), y equals negative 3. The third set has the equations: x equals negative 2 (where the negative 2 is blue), y equals negative 3x, y equals negative 3(negative 2) (where the negative 2 is blue), y equals 6.

We list the points in the table below.

\(y=-3x\)
\(x\) \(y\) \(\left(x,y\right)\)
0 0 \(\left(0,0\right)\)
1 \(-3\) \(\left(1,-3\right)\)
\(-2\) 6 \(\left(-2,6\right)\)

Plot the points, check that they line up, and draw the line.

The figure shows a straight line drawn through three points on the x y-coordinate plane. The x-axis of the plane runs from negative 7 to 7. The y-axis of the plane runs from negative 7 to 7. Dots mark off the three points which are labeled by their ordered pairs (negative 2, 6), (0, 0), and (1, negative 3). A straight line goes through all three points. The line has arrows on both ends pointing to the outside of the figure. The line is labeled with the equation y equals negative 3x.

When an equation includes a fraction as the coefficient of \(x\), we can still substitute any numbers for \(x\). But the math is easier if we make ‘good’ choices for the values of \(x\). This way we will avoid fraction answers, which are hard to graph precisely.

Example

Graph the equation \(y=\frac{1}{2}x+3\).

Solution

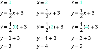
Find three points that are solutions to the equation. Since this equation has the fraction \(\frac{1}{2}\) as a coefficient of \(x,\) we will choose values of \(x\) carefully. We will use zero as one choice and multiples of 2 for the other choices. Why are multiples of 2 a good choice for values of \(x\)?

The figure shows three sets of equations used to determine ordered pairs from the equation y equals (one half)x plus 3. The first set has the equations: x equals 0 (where the 0 is blue), y equals (one half)x plus 3, y equals (one half)(0) plus 3 (where the 0 is blue), y equals 0 plus 3, y equals 3. The second set has the equations: x equals 2 (where the 2 is blue), y equals (one half)x plus 3, y equals (one half)(2) plus 3 (where the 2 is blue), y equals 1 plus 3, y equals 4. The third set has the equations: x equals 4 (where the 4 is blue), y equals (one half)x plus 3, y equals (one half)(4) plus 3 (where the 4 is blue), y equals 2 plus 3, y equals 5.

The points are shown in the table below.

\(y=\frac{1}{2}x+3\)
\(x\) \(y\) \(\left(x,y\right)\)
0 3 \(\left(0,3\right)\)
2 4 \(\left(2,4\right)\)
4 5 \(\left(4,5\right)\)

Plot the points, check that they line up, and draw the line.

The figure shows a straight line drawn through three points on the x y-coordinate plane. The x-axis of the plane runs from negative 7 to 7. The y-axis of the plane runs from negative 7 to 7. Dots mark off the three points which are labeled by their ordered pairs (0, 3), (2, 4), and (4, 5). A straight line goes through all three points. The line has arrows on both ends pointing to the outside of the figure. The line is labeled with the equation y equals (one half)x plus 3.

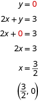
So far, all the equations we graphed had \(y\) given in terms of \(x\). Now we’ll graph an equation with \(x\) and \(y\) on the same side. Let’s see what happens in the equation \(2x+y=3\). If \(y=0\) what is the value of \(x\)?

The figure shows a set of equations used to determine an ordered pair from the equation 2x plus y equals 3. The first equation is y equals 0 (where the 0 is red). The second equation is the two- variable equation 2x plus y equals 3. The third equation is the onenegative variable equation 2x plus 0 equals 3 (where the 0 is red). The fourth equation is 2x equals 3. The fifth equation is x equals three halves. The last line is the ordered pair (three halves, 0).

This point has a fraction for the x- coordinate and, while we could graph this point, it is hard to be precise graphing fractions. Remember in the example \(y=\frac{1}{2}x+3\), we carefully chose values for \(x\) so as not to graph fractions at all. If we solve the equation \(2x+y=3\) for \(y\), it will be easier to find three solutions to the equation.

\(\begin{array}{ccc}\hfill 2x+y& =\hfill & 3\hfill \\ \hfill y& =\hfill & -2x+3\hfill \end{array}\)

The solutions for \(x=0\), \(x=1\), and \(x=-1\) are shown in the the table below. The graph is shown in the figure below.

\(2x+y=3\)
\(x\) \(y\) \(\left(x,y\right)\)
0 3 \(\left(0,3\right)\)
1 1 \(\left(1,1\right)\)
\(-1\) 5 \(\left(-1,5\right)\)

The figure shows a straight line drawn through three points on the x y-coordinate plane. The x-axis of the plane runs from negative 7 to 7. The y-axis of the plane runs from negative 7 to 7. Dots mark off the three points which are labeled by their ordered pairs (negative 1, 5), (0, 3), and (1, 1). A straight line goes through all three points. The line has arrows on both ends pointing to the outside of the figure. The line is labeled with the equation 2x plus y equals 3.

Can you locate the point \(\left(\frac{3}{2},0\right)\), which we found by letting \(y=0\), on the line?

Example

Graph the equation \(3x+y=-1\).

Solution

\(\begin{array}{cccccc}\text{Find three points that are solutions to the equation.}\hfill & & & \hfill 3x+y& =\hfill & -1\hfill \\ \text{First solve the equation for}\phantom{\rule{0.2em}{0ex}}y.\hfill & & & \hfill y& =\hfill & -3x-1\hfill \end{array}\)

We’ll let \(x\) be 0, 1, and \(-1\) to find 3 points. The ordered pairs are shown in the table below. Plot the points, check that they line up, and draw the line. See the figure below.

\(3x+y=-1\)
\(x\) \(y\) \(\left(x,y\right)\)
0 \(-1\) \(\left(0,-1\right)\)
1 \(-4\) \(\left(1,-4\right)\)
\(-1\) 2 \(\left(-1,2\right)\)
The figure shows a straight line drawn through three points on the x y-coordinate plane. The x-axis of the plane runs from negative 7 to 7. The y-axis of the plane runs from negative 7 to 7. Dots mark off the three points which are labeled by their ordered pairs (negative 1, 2), (0, negative 1), and (1, negative 4). A straight line goes through all three points. The line has arrows on both ends pointing to the outside of the figure. The line is labeled with the equation 3x plus y equals negative 1.

If you can choose any three points to graph a line, how will you know if your graph matches the one shown in the answers in the book? If the points where the graphs cross the x- and y-axis are the same, the graphs match!

The equation in the example above was written in standard form, with both \(x\) and \(y\) on the same side. We solved that equation for \(y\) in just one step. But for other equations in standard form it is not that easy to solve for \(y\), so we will leave them in standard form. We can still find a first point to plot by letting \(x=0\) and solving for \(y\). We can plot a second point by letting \(y=0\) and then solving for \(x\). Then we will plot a third point by using some other value for \(x\) or \(y\).

Example

Graph the equation \(2x-3y=6\).

Solution

\(\begin{array}{cccccc}\begin{array}{c}\text{Find three points that are solutions to the}\hfill \\ \text{equation.}\hfill \end{array}\hfill & & & \hfill 2x-3y& =\hfill & 6\hfill \\ \text{First let}\phantom{\rule{0.2em}{0ex}}x=0.\hfill & & & \hfill 2\left(0\right)-3y& =\hfill & 6\hfill \\ \text{Solve for}\phantom{\rule{0.2em}{0ex}}y.\hfill & & & \hfill -3y& =\hfill & 6\hfill \\ & & & \hfill y& =\hfill & -2\hfill \\ \\ \\ \text{Now let}\phantom{\rule{0.2em}{0ex}}y=0.\hfill & & & \hfill 2x-3\left(0\right)& =\hfill & 6\hfill \\ \text{Solve for}\phantom{\rule{0.2em}{0ex}}x.\hfill & & & \hfill 2x& =\hfill & 6\hfill \\ & & & \hfill x& =\hfill & 3\hfill \\ \begin{array}{c}\text{We need a third point. Remember, we can}\hfill \\ \text{choose any value for}\phantom{\rule{0.2em}{0ex}}x\phantom{\rule{0.2em}{0ex}}\text{or}\phantom{\rule{0.2em}{0ex}}y.\phantom{\rule{0.2em}{0ex}}\text{We’ll let}\phantom{\rule{0.2em}{0ex}}x=6.\hfill \end{array}\hfill & & & \hfill 2\left(6\right)-3y& =\hfill & 6\hfill \\ \text{Solve for}\phantom{\rule{0.2em}{0ex}}y.\hfill & & & \hfill 12-3y& =\hfill & 6\hfill \\ & & & \hfill -3y& =\hfill & -6\hfill \\ & & & \hfill y& =\hfill & 2\hfill \end{array}\)

We list the ordered pairs in the table below. Plot the points, check that they line up, and draw the line. See the figure below.

\(2x-3y=6\)
\(x\) \(y\) \(\left(x,y\right)\)
0 \(-2\) \(\left(0,-2\right)\)
3 0 \(\left(3,0\right)\)
6 2 \(\left(6,2\right)\)
The figure shows a straight line drawn through three points on the x y-coordinate plane. The x-axis of the plane runs from negative 7 to 7. The y-axis of the plane runs from negative 7 to 7. Dots mark off the three points which are labeled by their ordered pairs (0, negative 2), (3, 0), and (6, 2). A straight line goes through all three points. The line has arrows on both ends pointing to the outside of the figure. The line is labeled with the equation 2x minus 3y equals 6.

This lesson is part of:

Graphs and Equations

View Full Tutorial

Track Your Learning Progress

Sign in to unlock unlimited practice exams, tutorial practice quizzes, personalized weak area practice, AI study assistance with Lexi, and detailed performance analytics.